Populisme: de weigering van complexiteit en de poging om simplistische antwoorden te formuleren op ingewikkelde vraagstukken middels gebruik van elke mogelijke prikkel van gedrag - i.p.v. moeite te doen voor gezonde participatie.
Tja, maar ik heb nog geen fatsoenlijk onderbouwd stuk gelezen dat dit daadwerkelijk het geval zou zijn. Natuurlijk is een recessie niet goed, ook niet voor de volksgezondheid, maar iemand die nu in de bijstand raakt zit daar natuurlijk niet per definitie voor de rest van z’n leven. Dat gebeurde ook niet bij alle recessies die we in het verleden hebben gehad. Iemand die doodgaat omdat er geen IC-bed meer vrij is, of geen verpleegkundig personeel, of geen beschermende kleding, die wek je niet meer tot leven.SvMp schreef op donderdag 2 april 2020 @ 12:11:
[...]
Dit "omdat je werkelijk gelooft dat de huidige maatregelen meer kwaad dan goed doen?", maar iets concreter: Op langere termijn.
Ik ben toch malle pietje niet!
Wat dat betreft zitten we al op een tussenweg, je mag hier gewoon nog een frisse neus halen, winkels mogen gewoon nog open zijn etc..SvMp schreef op donderdag 2 april 2020 @ 12:09:
[...]
Nee.
Ik pleit nergens voor volledig loslaten, en dat is wel weer die rooie lijn voor staat.
Ik pleit voor een veel bredere discussie, exit-strategie, tussenwegen, maar volledig loslaten is een ander uiterste.
Master of the allen wrench Riding a mighty lawnmower for revenge In the realm of the screws he's the king And Lord of the Towel Rings
Maar weten wij hoeveel mensen er nu dood gaan omdat er te weinig IC-bedden voor niet-Corona patiënten beschikbaar zijn en die zorg onder druk staat?The Legend schreef op donderdag 2 april 2020 @ 12:17:
[...]Tja, maar ik heb nog geen fatsoenlijk onderbouwd stuk gelezen dat dit daadwerkelijk het geval zou zijn. Natuurlijk is een recessie niet goed, ook niet voor de volksgezondheid, maar iemand die nu in de bijstand raakt zit daar natuurlijk niet per definitie voor de rest van z’n leven. Dat gebeurde ook niet bij alle recessies die we in het verleden hebben gehad. Iemand die doodgaat omdat er geen IC-bed meer vrij is, of geen verpleegkundig personeel, of geen beschermende kleding, die wek je niet meer tot leven.
Maar dat is nou precies wat wij niet doen, het gaat erom, zoals @janvanduschoten ook aangaf, om mensen/kinderen die gewoon struikelen over de stoeprand, van een trapje vallen of ineens een hartaanval krijgen, er is namelijk na een tijd totaal geen ruimte meer voor dat soort zaken, enerzijds door te kort aan middelen, bedden, maar ook omdat de zorg instort. Dus linksom of rechtsom gaat alles de mist in en dan is het huidige scenario juist de meest waarschijnlijke dat je "flatten the curve" kan doen....rik86 schreef op donderdag 2 april 2020 @ 12:15:
[...]
Ik denk dat er heel weinig zijn die voor 't volledig hervatten pleiten. Maar ik ben inderdaad wel 1 van de tweakers die zich afvraagt of we koste wat 't kost elke directe Corona-dode moeten willen voorkomen; Omdat ik ervan overtuigd ben dat de kosten daarvan niet opwegen tot wat het ons later zal kosten. Het lastige is alleen dat je wel afhankelijk bent van dat zo goed als iedereen zich dan verstandig gedraagt.
Dat is echter geen correct beeld. We doen dat helemaal niet.rik86 schreef op donderdag 2 april 2020 @ 12:15:
[...]
Ik denk dat er heel weinig zijn die voor 't volledig hervatten pleiten. Maar ik ben inderdaad wel 1 van de tweakers die zich afvraagt of we koste wat 't kost elke directe Corona-dode moeten willen voorkomen; Omdat ik ervan overtuigd ben dat de kosten daarvan niet opwegen tot wat het ons later zal kosten. Het lastige is alleen dat je wel afhankelijk bent van dat zo goed als iedereen zich dan verstandig gedraagt.
Populisme: de weigering van complexiteit en de poging om simplistische antwoorden te formuleren op ingewikkelde vraagstukken middels gebruik van elke mogelijke prikkel van gedrag - i.p.v. moeite te doen voor gezonde participatie.
Hoe wil je die kosten tegenover het leven definiëren dan? Bepaal eens hoeveel je zelf waard bent?rik86 schreef op donderdag 2 april 2020 @ 12:15:
[...]
Ik denk dat er heel weinig zijn die voor 't volledig hervatten pleiten. Maar ik ben inderdaad wel 1 van de tweakers die zich afvraagt of we koste wat 't kost elke directe Corona-dode moeten willen voorkomen; Omdat ik ervan overtuigd ben dat de kosten daarvan niet opwegen tot wat het ons later zal kosten. Het lastige is alleen dat je wel afhankelijk bent van dat zo goed als iedereen zich dan verstandig gedraagt.
Schiet tussen de palen en je scoort!
Dat wordt nu juist wel eens betwist. Op de korte termijn heeft een recessie bepaalde gezondheidsvoordelen. Er is natuurlijk minder verkeer, minder bedrijfsongevallen, mensen schijnen minder te drinken en ga zo maar door.The Legend schreef op donderdag 2 april 2020 @ 12:17:
Natuurlijk is een recessie niet goed, ook niet voor de volksgezondheid,
"The question of whether a computer can think is no more interesting than the question of whether a submarine can swim" - Edsger Dijkstra
Volgens mij is dat inderdaad beter inzichtelijk dan het verlies van levensjaren als gevolg van de economische malaise. We zitten nu met een bijna-lockdown tegen de rand van wat het zorgsysteem aankan. Dat is geen hypothetische situatie meer. De curves van het RIVM zonder maatregelen (met andere woorden, nu afschalen) stijgen exponentieel. Het dodental zal dan volgen.rik86 schreef op donderdag 2 april 2020 @ 12:18:
[...]
Maar weten wij hoeveel mensen er nu dood gaan omdat er te weinig IC-bedden voor niet-Corona patiënten beschikbaar zijn en die zorg onder druk staat?
Ik ben toch malle pietje niet!
Het is ook jammer dat sommigen de connectie tussen de economie en kwaliteit van de gezondheidszorg niet zien. Als we nu de gehele economie om zeep helpen, dan is het maar de vraag wat op lange termijn de gevolgen zijn.leekers schreef op donderdag 2 april 2020 @ 12:06:
[...]
Het is inderdaad jammer te moeten zien dat er mensen zijn die met een soort oogkleppen op beweren dat de economie moet worden hervat en we dan maar moeten accepteren dat er meer doden vallen .
We zijn zo enorm gefocust op het "nu" en denken bij elk cijfer die we toegeworpen krijgen "we moeten koste wat kost zo veel mogelijk doden voorkomen", dat sommigen lijken te vergeten dat we ook weer door moeten hierna.
Ik kan alleen concluderen dat ik blij ben dat de meesten hier het niet voor het zeggen hebben
Geen idee en dat moet je juist van jezelf weghalen. En bedenk dat geld in onze huidige maatschappij-inrichting niet ongelimiteerd is. Of nou ja, de waarde die 't vertegenwoordigd.xzaz schreef op donderdag 2 april 2020 @ 12:22:
[...]
Hoe wil je die kosten tegenover het leven definiëren dan? Bepaal eens hoeveel je zelf waard bent?
Maar volgens mij ligt in de zorg die grens ergens rond de 2 miljoen; Als behandel/medicijn-kosten daarboven komen, dan gebeurt dat niet. Maar dat is puur iets dat in m'n geheugen zit en wat anderen hier vast beter kunnen onderbouwen.
En @ veel anderen, 't klopt dat we niet kostte wat 't kost elk leven proberen te redden, maar sommigen op dit forum willen dat volgens mij wel en er is een aantal politici die dat ook lijkt te willen in hun communicatie.
Ik weet dat we op een tussenweg zitten en ik vermoed dat we die, juist ook vanwege de economische impact en potentiële gevolgschade en de regering die er zit, eerder dan sommigen graag zouden zien, richting de economie zien opschuiven dan richting directe corona-sterfgevallen voorkomen.
En ik denk dat 't een logische keuze kan zijn.
Verwijderd
Zo jammer, dat mensen alleen horen wat ze willen horen. Ik ken genoeg mensen die, mochten ze hier een longontsteking van oplopen, wel een grote kans hebben om te sterven. Nee, dan heb ik het niet over mensen ouder dan 66.
Dat, en de geschiedenis leert ons dat misbruik, pardon, gebruik van een recessie uitermate lonend is voor zeer specifieke segmenten van economische activiteit ... waarbij kosten vanzelfsprekend afgewenteld worden op de reële economie omdat teveel mensen geloven dat - als voorbeeld - een bank daadwerkelijk welvaart schept ...Mugwump schreef op donderdag 2 april 2020 @ 12:22:
[...]
Dat wordt nu juist wel eens betwist. Op de korte termijn heeft een recessie bepaalde gezondheidsvoordelen. Er is natuurlijk minder verkeer, minder bedrijfsongevallen, mensen schijnen minder te drinken en ga zo maar door.
Populisme: de weigering van complexiteit en de poging om simplistische antwoorden te formuleren op ingewikkelde vraagstukken middels gebruik van elke mogelijke prikkel van gedrag - i.p.v. moeite te doen voor gezonde participatie.
Verwijderd
Niemand stelt "we moeten koste wat kost zo veel mogelijk doden voorkomen". Niemand.eric.1 schreef op donderdag 2 april 2020 @ 12:28:
[...]
We zijn zo enorm gefocust op het "nu" en denken bij elk cijfer die we toegeworpen krijgen "we moeten koste wat kost zo veel mogelijk doden voorkomen", dat sommigen lijken te vergeten dat we ook weer door moeten hierna.
Daarnaast is dat ook niet het huidige beleid. Als dat het beleid was dan zouden alle winkels dicht zijn, niemand meer naar het werk mogen, niemand het huis uit mogen en het leger voedselpakketten rondbrengen.
Het "slap koord" van economie en gezondheid wordt al weken besproken.
waaruit maak jij op dat er te weinig ic bedden voor niet covid patiënten zijn?rik86 schreef op donderdag 2 april 2020 @ 12:18:
[...]
Maar weten wij hoeveel mensen er nu dood gaan omdat er te weinig IC-bedden voor niet-Corona patiënten beschikbaar zijn en die zorg onder druk staat?
if you are neutral in a situation of injustice you have chosen the side of the oppressor
Verwijderd
Het is breder dan de ICs alleen.Tens schreef op donderdag 2 april 2020 @ 12:32:
[...]
waaruit maak jij op dat er te weinig ic bedden voor niet covid patiënten zijn?
https://nos.nl/nieuwsuur/...-met-verborgen-doden.html
Net zoals de zorg is ook het leger al lang geleden wegbezuinigd tot ver onder de grootte om zoiets te kunnen doen.Verwijderd schreef op donderdag 2 april 2020 @ 12:30:
[...]
Daarnaast is dat ook niet het huidige beleid. Als dat het beleid was dan zouden alle winkels dicht zijn, niemand meer naar het werk mogen, niemand het huis uit mogen en het leger voedselpakketten rondbrengen.
And to think they once said that computers would take away jobs.
Het is toch ook gewoon de griepvervanger dit jaar? Daar overlijdt dit jaar bijna niemand aan want dat schuift grotendeels door naar Covid. Alleen is de longontsteking hier direct de IC met veel grotere gevolgen. Met het te beschouwen als een veel gevaarlijkere 'griep' is weinig mis, zolang de ernst maar duidelijk wordt en mensen daar naar handelen. Medisch niet juist, maar wel veel begrijpelijker als boodschap.Verwijderd schreef op donderdag 2 april 2020 @ 12:28:
Toch jammer van die mensen die het nog steeds als griepje blijven zien. Ik ken (zeeland) nu al vier 50ers die in het ziekenhuis liggen (> week). Gebruik nou eens je verstand, kijk het nieuws en gedraag je niet zoals Trump.
Zo jammer, dat mensen alleen horen wat ze willen horen. Ik ken genoeg mensen die, mochten ze hier een longontsteking van oplopen, wel een grote kans hebben om te sterven. Nee, dan heb ik het niet over mensen ouder dan 66.
Verwijderd
Ach ik heb nog dienstplicht, ik kom je wel rijst brengen. Kom ik nog eens buiten.IJzerlijm schreef op donderdag 2 april 2020 @ 12:34:
[...]
Net zoals de zorg is ook het leger al lang geleden wegbezuinigd tot ver onder de grootte om zoiets te kunnen doen.
true, maar dat was niet de stelling van rik86Verwijderd schreef op donderdag 2 april 2020 @ 12:34:
[...]
Het is breder dan de ICs alleen.
https://nos.nl/nieuwsuur/...-met-verborgen-doden.html
if you are neutral in a situation of injustice you have chosen the side of the oppressor
Positief nieuws wat mij betreft, mooi dat er ook gedacht wordt aan de kwetsbare leerling die geen laptop heeft.
Master of the allen wrench Riding a mighty lawnmower for revenge In the realm of the screws he's the king And Lord of the Towel Rings
Bij mij was ie opgeschort, maar inmiddels zou ik ook gewoon afgekeurd worden.Verwijderd schreef op donderdag 2 april 2020 @ 12:35:
[...]
Ach ik heb nog dienstplicht, ik kom je wel rijst brengen. Kom ik nog eens buiten.
"The question of whether a computer can think is no more interesting than the question of whether a submarine can swim" - Edsger Dijkstra
Met als verschil dat dat "veel gevaarlijkere" er in de praktijk vaak van afvalt kwa boodschap, en veel mensen bij "griep" ook de verkeerde symptomen voorstellen, namelijk een verkoudheid, ipv daadwerkelijk influenza.sambalbaj schreef op donderdag 2 april 2020 @ 12:35:
[...]
Het is toch ook gewoon de griepvervanger dit jaar? Daar overlijdt dit jaar bijna niemand aan want dat schuift grotendeels door naar Covid. Alleen is de longontsteking hier direct de IC met veel grotere gevolgen. Met het te beschouwen als een veel gevaarlijkere 'griep' is weinig mis, zolang de ernst maar duidelijk wordt en mensen daar naar handelen. Medisch niet juist, maar wel veel begrijpelijker als boodschap.
Master of the allen wrench Riding a mighty lawnmower for revenge In the realm of the screws he's the king And Lord of the Towel Rings
Juist. Niemand. Als iemand "de economie starten" tegenover "extra doden" zet, dan heb je al iemand.Verwijderd schreef op donderdag 2 april 2020 @ 12:30:
[...]
Niemand stelt "we moeten koste wat kost zo veel mogelijk doden voorkomen". Niemand.
Als we daadwerkelijk koste wat kost elke dode zouden willen voorkomen hadden we nu in een heel ander soort lockdown gezeten, het huidige beleid is gericht op de druk op de zorg behapbaar houden, niet op alle doden koste wat kost voorkomen. De economie staat ook niet stil, maar op een lager pitje.eric.1 schreef op donderdag 2 april 2020 @ 12:42:
[...]
Juist. Niemand. Als iemand "de economie starten" tegenover "extra doden" zet, dan heb je al iemand.
Ik hoor vrij weinig mensen roepen om nog strengere maatregels
Master of the allen wrench Riding a mighty lawnmower for revenge In the realm of the screws he's the king And Lord of the Towel Rings
Het is ergens wel schrikken. Weer zo'n voorbeeld van hoe een crisis zaken kan blootleggen. Ik heb contact met een aantal initiatieven, een in Amsterdam, een in Eindhoven, een tweetal in Limburg. Het is soms schrikken. Bedenk dan dat ze er ook saillant vaak tegen aanlopen dat wanneer de middelen dan verzorgd worden, het blijkt dat er geen internet is. In Nederland. In deze tijd.vectormatic schreef op donderdag 2 april 2020 @ 12:37:
https://www.nu.nl/coronav...uis-te-kunnen-werken.html
Positief nieuws wat mij betreft, mooi dat er ook gedacht wordt aan de kwetsbare leerling die geen laptop heeft.
Populisme: de weigering van complexiteit en de poging om simplistische antwoorden te formuleren op ingewikkelde vraagstukken middels gebruik van elke mogelijke prikkel van gedrag - i.p.v. moeite te doen voor gezonde participatie.
Het is natuurlijk niet 1 op 1 aan te tonen, maar er zijn er volgens mij nu nog zo'n 500 beschikbaar voor niet-Covid patiënten, waar er normaal zo'n 750 bezet zijn.Tens schreef op donderdag 2 april 2020 @ 12:32:
[...]
waaruit maak jij op dat er te weinig ic bedden voor niet covid patiënten zijn?
Die 250 zijn normaal dus nodig, maar er worden nu dus operaties bijv. uitgesteld, om meer IC bedden voor Covid vrij te maken of anders gezegd, omdat er te weinig IC-bedden zijn;
[ Voor 99% gewijzigd door michael3 op 30-10-2020 16:40 ]
Aan dit bericht kan men geen rechten ontlenen, sterker nog bij het lezen van de reactie en Signature stem je ermee in dat ik niet verandwoordelijk ben voor mijn eigen reactie.
Ik wacht totdat ook zij er achter komen dat de Chinese overheid het toelaat om kwalitatief onbetrouwbare producten te verkopen en zelfs aan te bieden aan andere overheden, bedrijven en instellingen.michael3 schreef op donderdag 2 april 2020 @ 13:05:
Was dit al aan bod gekomen?
‘Amerikanen kapen hele ladingen mondkapjes weg: Ze bieden drie keer het bedrag’
https://www.ad.nl/buitenl...keer-het-bedrag~a809f039/
Populisme: de weigering van complexiteit en de poging om simplistische antwoorden te formuleren op ingewikkelde vraagstukken middels gebruik van elke mogelijke prikkel van gedrag - i.p.v. moeite te doen voor gezonde participatie.
Een collega van mij z'n hartoperatie is 2 weken geleden uitgesteld ivm corona maar gaat morgen gewoon door. En die heeft ook wel even een IC bed nodig. De artsen die daarvoor ingepland zijn (hartchirurgen bijvoorbeeld) kunnen misschien helemaal niet zo goed ingezet worden in de bestrijding van corona.rik86 schreef op donderdag 2 april 2020 @ 13:05:
[...]
Het is natuurlijk niet 1 op 1 aan te tonen, maar er zijn er volgens mij nu nog zo'n 500 beschikbaar voor niet-Covid patiënten, waar er normaal zo'n 750 bezet zijn.
Die 250 zijn normaal dus nodig, maar er worden nu dus operaties bijv. uitgesteld, om meer IC bedden voor Covid vrij te maken of anders gezegd, omdat er te weinig IC-bedden zijn;
De niet corona-IC's lijken gewoon (nu althans) gebruikt te worden voor het reguliere circuit.
[ Voor 99% gewijzigd door michael3 op 30-10-2020 16:40 ]
Aan dit bericht kan men geen rechten ontlenen, sterker nog bij het lezen van de reactie en Signature stem je ermee in dat ik niet verandwoordelijk ben voor mijn eigen reactie.
Helemaal eens, ik zag een paar dagen ook een aantal over het aantal internet-loze huishoudens met jonge kinderen, schrok ik zelf ook best een beetje van. Ook als je kind nog niet van de leeftijd is dat ze er zelf wat mee moeten/kunnen, is het als ouder ook haast onmisbaar, voor school gaat alles via de website/mail/schoolapp, kwa zorg is er online verschrikkelijk veel nuttige informatie te vinden etc...Virtuozzo schreef op donderdag 2 april 2020 @ 13:02:
[...]
Het is ergens wel schrikken. Weer zo'n voorbeeld van hoe een crisis zaken kan blootleggen. Ik heb contact met een aantal initiatieven, een in Amsterdam, een in Eindhoven, een tweetal in Limburg. Het is soms schrikken. Bedenk dan dat ze er ook saillant vaak tegen aanlopen dat wanneer de middelen dan verzorgd worden, het blijkt dat er geen internet is. In Nederland. In deze tijd.
Wat dat betreft is internet (zeker in deze tijd) gewoon een eerste levensbehoefte, en snap ik niet persee hoe bijvoorbeeld de kabel en glas markt nog zo monopolistisch mag zijn. Ik zou het best een idee vinden om aanbieders te verplichten om een 4mbit lijntje voor €5/mnd aan te bieden of zo.
Master of the allen wrench Riding a mighty lawnmower for revenge In the realm of the screws he's the king And Lord of the Towel Rings
Ik vraag me af in hoeverre die amerikaanse kopers daadwerkelijk overheids-sanctioned te werk gaan, of dat het gewoon particuliere eikels zijn die de boel alleen voor het geld doen. In het eerste geval kan deze op de stapel "redenen om vooral niet afhankelijk te zijn van amerika en trump"michael3 schreef op donderdag 2 april 2020 @ 13:15:
[...]
Ergens hoop ik, hoe slecht ik misschien nu ook denk I know, dat de VS een slechte batch ontvangt.
Want hoe ze het nu willen spelen kan gewoon niet, we hebben met zijn alle een probleem en zij denken alleen maar aan hunzelf.
Nu met de mondkapjes en toen der tijd met een vaccin bedrijf dat ze daar de exclusieve alleen rechten voor wouden hebben en vast nog wel meer zaken.
Master of the allen wrench Riding a mighty lawnmower for revenge In the realm of the screws he's the king And Lord of the Towel Rings
Tsja geen idee, zou beide kunnen.vectormatic schreef op donderdag 2 april 2020 @ 13:20:
[...]
Ik vraag me af in hoeverre die amerikaanse kopers daadwerkelijk overheids-sanctioned te werk gaan, of dat het gewoon particuliere eikels zijn die de boel alleen voor het geld doen. In het eerste geval kan deze op de stapel "redenen om vooral niet afhankelijk te zijn van amerika en trump"
Hopelijk krijgen we daar nog een update over.
Aan dit bericht kan men geen rechten ontlenen, sterker nog bij het lezen van de reactie en Signature stem je ermee in dat ik niet verandwoordelijk ben voor mijn eigen reactie.
Nou, succes. Ik heb vorig jaar nog met dat onderwerp zitten stoeien (naast mijn werkzaamheden baat ik thuis in Nederland part-time een gemeenschapscentrum uit). Er bleek behoorlijk vraag naar reductie van kosten bij een aantal hulptrajecten, het heeft ontzettend veel moeite gekost om een lokale (zakelijke) provider zover te krijgen om te voorzien in basisaansluitingen tegen gereduceerde kosten. Geen enkele reguliere provider wilde er zelfs maar over nadenken. Nu was dit bij een selectie gezin, jong, kinderen, schuldsanering, wat in Nederland al heel snel een perspectief geeft van "eigen schuld dus natrappen". Maar dan nog.vectormatic schreef op donderdag 2 april 2020 @ 13:16:
[...]
Helemaal eens, ik zag een paar dagen ook een aantal over het aantal internet-loze huishoudens met jonge kinderen, schrok ik zelf ook best een beetje van. Ook als je kind nog niet van de leeftijd is dat ze er zelf wat mee moeten/kunnen, is het als ouder ook haast onmisbaar, voor school gaat alles via de website/mail/schoolapp, kwa zorg is er online verschrikkelijk veel nuttige informatie te vinden etc...
Wat dat betreft is internet (zeker in deze tijd) gewoon een eerste levensbehoefte, en snap ik niet per se hoe bijvoorbeeld de kabel en glas markt nog zo monopolistisch mag zijn. Ik zou het best een idee vinden om aanbieders te verplichten om een 4mbit lijntje voor €5/mnd aan te bieden of zo.
Populisme: de weigering van complexiteit en de poging om simplistische antwoorden te formuleren op ingewikkelde vraagstukken middels gebruik van elke mogelijke prikkel van gedrag - i.p.v. moeite te doen voor gezonde participatie.
Opzet of onmacht? Cui Bono?Virtuozzo schreef op donderdag 2 april 2020 @ 13:10:
Ik wacht totdat ook zij er achter komen dat de Chinese overheid het toelaat om kwalitatief onbetrouwbare producten te verkopen en zelfs aan te bieden aan andere overheden, bedrijven en instellingen.
Regio Utrecht 1850Wp@79° 3700Wp@259°
Ik verwacht eigenlijk dat de volgende stap van de Amerikanen is dat ze die middelen gaan opeisen. Ik hou al helemaal m'n hart vast voor het eerst beschikbare vaccin, daar zie ik nog wel een conflict over ontstaan.Virtuozzo schreef op donderdag 2 april 2020 @ 13:10:
[...]
Ik wacht totdat ook zij er achter komen dat de Chinese overheid het toelaat om kwalitatief onbetrouwbare producten te verkopen en zelfs aan te bieden aan andere overheden, bedrijven en instellingen.
En dan komen de Amerikanen er een keer achter waarvoor dat 'second amendment' in de grondwet precies voor bedoeld is.shoombak schreef op donderdag 2 april 2020 @ 13:24:
[...]
Ik verwacht eigenlijk dat de volgende stap van de Amerikanen is dat ze niet middelen gaan opeisen. Ik hou al helemaal m'n hart vast voor het eerst beschikbare vaccin, daar zie ik nog wel een conflict over ontstaan.
Zet het daar maar neer! -- It's time to party like it's 1984 -- Soundcloud
Beleid. Is gerelateerd aan de civiel-economische kaders van de 2025 agenda. Alles is soft power, daarbij gelden enkel bepalingen van aanmelden zodat ministeries & departementen zaken kunnen gebruiken voor coördinatie van beeldvorming.
En ja, er is ook separaat beleid waarbij compromitteren ook direct ingezet wordt in parallel bij initiatieven van soft power. Zoals bijvoorbeeld "overheid X koopt Y middelen, 50% onbetrouwbaar -> foute overheid X" => "Overheid China schenkt middelen en doet transport -> goede Overheid China: .De afgelopen jaren zagen we dat opvallend consistent in Afrika, zoals bijvoorbeeld bij aanbestedingen medische industrie, maar ook visserij, strijdkrachten en zo meer. En elke keer was de correlatie die van afname lokaal vertrouwen, toename vertrouwen Chinese relaties, klem zetten lokale overheid in de debt policies van China waarna verdere uitholling lokaal volgde.
Maar goed, heel eigen onderwerp. Gewoon opmerkelijk om het tegenwoordig zo bruut in Europa toegepast te zien worden.
Populisme: de weigering van complexiteit en de poging om simplistische antwoorden te formuleren op ingewikkelde vraagstukken middels gebruik van elke mogelijke prikkel van gedrag - i.p.v. moeite te doen voor gezonde participatie.
De huidige situatie leent zich er uitstekend voor.Virtuozzo schreef op donderdag 2 april 2020 @ 13:28:
[...]
Maar goed, heel eigen onderwerp. Gewoon opmerkelijk om het tegenwoordig zo bruut in Europa toegepast te zien worden.
De Amerikanen, de Chinezen, beide valide redenen waarom je een stevige en goed functionerende EU zou moeten willen hebben, zodat je weerstand kan bieden, of met een stevige vuist terug kan slaan.shoombak schreef op donderdag 2 april 2020 @ 13:24:
[...]
Ik verwacht eigenlijk dat de volgende stap van de Amerikanen is dat ze niet middelen gaan opeisen. Ik hou al helemaal m'n hart vast voor het eerst beschikbare vaccin, daar zie ik nog wel een conflict over ontstaan.
En je wil natuurlijk ook de essentiele grondstoffen/producten in eigen beheer (ergens in de unie) houden, zodat je niet het risico loopt dat een Trump een hele batch beademingsapparaten inpikt.
Een aantal jaar geleden, toen ik in China woonde, ging er een filmpje rond in de lokale WeChat groepen van Afrikaanse kindjes die vloeiend Chinese volzinnen spraken...Ze hadden daar een nieuwe snelweg "gekregen".Virtuozzo schreef op donderdag 2 april 2020 @ 13:28:
[...]
De afgelopen jaren zagen we dat opvallend consistent in Afrika, zoals bijvoorbeeld bij aanbestedingen medische industrie, maar ook visserij, strijdkrachten en zo meer. En elke keer was de correlatie die van afname lokaal vertrouwen, toename vertrouwen Chinese relaties, klem zetten lokale overheid in de debt policies van China waarna verdere uitholling lokaal volgde.
Maar goed, heel eigen onderwerp. Gewoon opmerkelijk om het tegenwoordig zo bruut in Europa toegepast te zien worden.
Wat China in deze crisis doet is sluw; ja, ze zijn mogelijk de oorsprong van dit virus, maar door hulp te bieden (hoe waardevol/waardeloos) het ook is, plaatsen ze zichzelf in een hele andere hoek, een machtiger hoek. There's no such thing as a free lunch.
[ Voor 42% gewijzigd door dr.lowtune op 02-04-2020 13:35 ]
Kunnen die arme bedrijven/sectoren nadat ze zich jarenlang aan zeer gulle *kuch* CAO's moesten houden eindelijk de werknemers weer vertellen dat het pas op de plaats is.Virtuozzo schreef op donderdag 2 april 2020 @ 12:28:
[...]
Dat, en de geschiedenis leert ons dat misbruik, pardon, gebruik van een recessie uitermate lonend is voor zeer specifieke segmenten van economische activiteit ... waarbij kosten vanzelfsprekend afgewenteld worden op de reële economie omdat teveel mensen geloven dat - als voorbeeld - een bank daadwerkelijk welvaart schept ...
Nou ja, die 100 beademingsapparaten zijn in de VS gemaakt voor de VS markt. In principe heeft Nederland die met de korte lijntjes van Philips naar NL kunnen halen. In zekere zin Pot verwijt de ketel.dr.lowtune schreef op donderdag 2 april 2020 @ 13:31:
[...]
En je wil natuurlijk ook de essentiele grondstoffen/producten in eigen beheer (ergens in de unie) houden, zodat je niet het risico loopt dat een Trump een hele batch beademingsapparaten inpikt.
Schiet tussen de palen en je scoort!
Ik verwacht eerder, vanuit aanwezig politiek extreem beperkt en isolationistisch blikveld dat men het wel prima vindt. Zo kwam deze week bijvoorbeeld bericht over een analyse uit inlichtingen over de selectieve statistiek en invloed van Chinees buitenlandbeleid naar buiten, de reactie van Trump was "ach ja, mensen gaan dood, bad chinese, maar zij willen handel en wij willen handel - omg evil Democrats sabotaging our country".shoombak schreef op donderdag 2 april 2020 @ 13:24:
[...]
Ik verwacht eigenlijk dat de volgende stap van de Amerikanen is dat ze niet middelen gaan opeisen. Ik hou al helemaal m'n hart vast voor het eerst beschikbare vaccin, daar zie ik nog wel een conflict over ontstaan.
In normale (dus pre-Trump) tijden was er al lang geformuleerd beleid geweest van het State Department waarbij samenwerking en zekeren van strategisch gedeelde kwetsbaarheden / afhankelijkheden / variabelen binnen bestaande relaties een driver was van focus. Bij vorige medische crisis hetzelfde vanuit andere instellingen.
Nu is er niks. Maar goed, de meeste van die instellingen en organisaties zijn dan ook leeggehaald en leeg gelaten onder Trump. Het heeft gewoon geen waarde daar in deze tijd. En zelfs als er dan sprake was van strategische risico's, zoals bijvoorbeeld bij allocaties & toegang zogeheten rare earth mineral dependancies interesseerde het de huidige overheid niets. Ik verwacht wel show en theater, maar ik verwacht geen beleid.
Populisme: de weigering van complexiteit en de poging om simplistische antwoorden te formuleren op ingewikkelde vraagstukken middels gebruik van elke mogelijke prikkel van gedrag - i.p.v. moeite te doen voor gezonde participatie.
Dat kan natuurlijk ook als een boemerang terugkomen: landen die zich beseffen dat men zelfvoorzienend moet zijn voor noodzakelijke producten en materialen. Productie weer in eigen hand genomen moet worden, als het al niet nationaal is dan wel in EU verband.Virtuozzo schreef op donderdag 2 april 2020 @ 13:28:
Maar goed, heel eigen onderwerp. Gewoon opmerkelijk om het tegenwoordig zo bruut in Europa toegepast te zien worden.
In die context vond ik de oproep in het debat gisteren om dat generieke geneesmiddelenbedrijf open te houden een eerste stap. Hetzelfde geldt voor genoeg andere sectoren.
Regio Utrecht 1850Wp@79° 3700Wp@259°
Ik hoorde het op de radio. Een goed initiatief.vectormatic schreef op donderdag 2 april 2020 @ 12:37:
https://www.nu.nl/coronav...uis-te-kunnen-werken.html
Positief nieuws wat mij betreft, mooi dat er ook gedacht wordt aan de kwetsbare leerling die geen laptop heeft.
Wat ik wel schrijnend vond is dat een moeder zei "ze moest al het huiswerk op m'n telefoon maken. Heel vervelend dat ze m'n telefoon dan de hele tijd gebruikte".
Dan snap je het echt niet hoor.
Dat is toch gewoon onderdeel van de door Nederland geplaatste bestelling? Dat wij Amerikaanse versies hebben doet daar toch niets aan af en daarbij Philips produceert die dingen toch alleen in de VS, ik vind je reactie dus enigszins kort door de bocht. Inpikken en bestellen/ontvangen van een productielijn zijn 2 verschillende dingen.xzaz schreef op donderdag 2 april 2020 @ 13:33:
[...]
Nou ja, die 100 beademingsapparaten zijn in de VS gemaakt voor de VS markt. In principe heeft Nederland die met de korte lijntjes van Philips naar NL kunnen halen. In zekere zin Pot verwijt de ketel.
De Amerikanen hebben overigens nog een stuk of 5000 van die dingen in hun stockpile liggen las ik vanochtend.
Maar je punt is zeker duidelijk, dat zie je nu natuurlijk ook met die mondkapjes die de Fransen gekocht hadden in China en door de VS worden overgekocht. Dat gaat een keer knellen, en leiden tot conflicten tussen landen onderling.
In dat opzicht hebben de Afrikaanse landen het nog slechter, die kunnen er niet nog even wat dollars overheen gooien nadat de VS dat al gedaan heeft om de Franse voorraad over te kopen. Die landen zijn overgeleverd aan de genade van andere landen die er iets anders voor terug willen...
Ja, dat is ook zichtbaar. Nu moet gezegd worden, Chinees beleid heeft altijd zekere voet in een equivalente gevoeligheid van "loss of face". Maar dat is al vijftien jaar een veel mindere factor dan nauwgezet uitgewerkt doelmatig gebruik. Zero-sum denken.autje schreef op donderdag 2 april 2020 @ 13:31:
[...]
De huidige situatie leent zich er uitstekend voor.
Dat is altijd weer het geval na risico, de dans van het afschuiven van kosten. Ongeacht eigen realiteit. Hier zit wel een bijzondere complicatie voor Nederland. Het algemene denken zit op veel punten scheef.Framoes schreef op donderdag 2 april 2020 @ 13:31:
[...]
Kunnen die arme bedrijven/sectoren nadat ze zich jarenlang aan zeer gulle *kuch* CAO's moesten houden eindelijk de werknemers weer vertellen dat het pas op de plaats is.
Neem bijvoorbeeld ons beeld van "multinational". We denken aan Unilever. Wat nog nauwelijks voetafdruk heeft, en die consistent kleiner maakt. Wat in termen van zowel commercieel- als publiek-wetenschappelijk onderzoek een negatieve spin-off heeft, en wat in termen van MKB innovatief potentieel een negatieve economische impact schept (omdat alles wat maar zou kunnen concurreren weggekocht en in de la gezet wordt). Terwijl het gemiddelde kleine tot middelgrote MKB bedrijf de échte multinational is. De échte motor van economie.
Iets vergelijkbaars zie je bij ons beeld van virtuele economie. Een bank voegt niets, maar dan ook niets toe aan processen van schepping of verdeling van welvaart. Integendeel, waar een bank buiten haar rol treedt en gaat ondernemen kost het dat juist. Of dat nu via stunten met repressie van familiebedrijven is, of gebruik kredietruimte om concurrentie binnen sectoren te ondermijnen voor schaalvergroting waar men de grootste participatie heeft om vervolgens die bedrijven leeg te halen en te verkopen buiten Europa. Depositobanken kennen we al niet eens meer.
Zo zijn er wel meer stukken perceptie, zoals vrije markt en broekriem & zo meer waar we de mist mee ingaan. Niets geleerd van de kredietcrisis.
Je kan de aanwezigheid van die perceptie én de focus erop bij deze crisis ook nu al zien. Indicatoren genoeg. Een cruciaal beroep moet nu een vitaal beroep genoemd worden. Immers, vitaal is gezond en schouderklopje. Cruciaal is een bepaling van waarde. En al blijkt maar weer eens dat economie noch samenleving nergens is zonder onderhoud en fundament, de waarde daarvan is nul. Enkel virtuele economie heeft waarde en dus hoge baat.
Ja, er zitten inderdaad wel flink wat lessen bij dit alles. Ik hoop, zo cru als dit mag klinken, dat dit alles mensen laat nadenken over de kwetsbaarheden die we hebben. En over de noodzaak om tijdens een crisis de lijn uit te werken voor na de crisis - want dat is altijd wanneer het telt.dr.lowtune schreef op donderdag 2 april 2020 @ 13:31:
[...]
De Amerikanen, de Chinezen, beide valide redenen waarom je een stevige en goed functionerende EU zou moeten willen hebben, zodat je weerstand kan bieden, of met een stevige vuist terug kan slaan.
En je wil natuurlijk ook de essentiele grondstoffen/producten in eigen beheer (ergens in de unie) houden, zodat je niet het risico loopt dat een Trump een hele batch beademingsapparaten inpikt.
Populisme: de weigering van complexiteit en de poging om simplistische antwoorden te formuleren op ingewikkelde vraagstukken middels gebruik van elke mogelijke prikkel van gedrag - i.p.v. moeite te doen voor gezonde participatie.
Hoezo snap je het dan niet ?Framoes schreef op donderdag 2 april 2020 @ 13:41:
[...]
Ik hoorde het op de radio. Een goed initiatief.
Wat ik wel schrijnend vond is dat een moeder zei "ze moest al het huiswerk op m'n telefoon maken. Heel vervelend dat ze m'n telefoon dan de hele tijd gebruikte".
Dan snap je het echt niet hoor.
Ik denk dat je het wellicht te negatief wilt lezen, het lijkt mij ook vervelend, maar ze laat haar dochter het toch doen ?
Mja, stukje persoonlijke invulling, maar wat ik voor me zie is een moeder die ondanks dat er geen geld is voor een laptop, toch een dure smartphone heeft (want abonnement is een maandlast, en 40/mnd is makkelijker dan 400 eenmalig) en het nu lastig vind dat dochter het ding nodig heeft, en dus niet kan facebooken.gekkie schreef op donderdag 2 april 2020 @ 13:46:
[...]
Hoezo snap je het dan niet ?
Ik denk dat je het wellicht te negatief wilt lezen, het lijkt mij ook vervelend, maar ze laat haar dochter het toch doen ?
Dus ja, de prioriteit in onmiddelijke zin ligt goed, dochter kan dr huiswerk maken, op de iets langere termijn zit er natuurlijk heeeeeeel veel scheef. (maar dat zou je sowieso kunnen vinden van elk gezin wat nu kinderen heeft maar niet een computer, of de middelen om er een te regelen)
Master of the allen wrench Riding a mighty lawnmower for revenge In the realm of the screws he's the king And Lord of the Towel Rings
Nee. Dan moet er heel veel gebeuren. De crux bij dit soort toepassingen is dat degene die beeld, tempo en herhaling weet te bepalen degene is die de meeste prikkels voor perceptie opbouw schept. Menselijke sociale psychologie doet dan de rest. En dat wordt weer gebufferd vanuit een ander domein van Chinese overheid, het militair-economische (serieus, dat is een land binnen een land, met eigen bedrijven, eigen politiek, eigen middelen, zelfs eigen infrastructuur en bevolkingstoewijzingen). Daar waar "problemen" opduiken lokaal in doelgebied worden bedrijven opgekocht, politici daarbij gecompromitteerd, wordt broken porcelain ingezet, ga zo door.hoevenpe schreef op donderdag 2 april 2020 @ 13:35:
[...]
Dat kan natuurlijk ook als een boemerang terugkomen: landen die zich beseffen dat men zelfvoorzienend moet zijn voor noodzakelijke producten en materialen. Productie weer in eigen hand genomen moet worden, als het al niet nationaal is dan wel in EU verband.
In die context vond ik de oproep in het debat gisteren om dat generieke geneesmiddelenbedrijf open te houden een eerste stap. Hetzelfde geldt voor genoeg andere sectoren.
Zoals het er nu voorstaat hebben we weinig tot geen verweer. Het probleem daarbij is niet de EU, maar de gegroeide traditie van nationale koehandel en het wijzen naar de EU als schuldige bij eigen nationale of partijpolitieke spelletjes. De vertrouwensbasis voor Europees beleid ontbreekt daardoor. Terwijl de expertise en het bereik er juist aanwezig is, en op maar al te vaak afwezig op nationale niveau's.
Ja, er worden stappen genomen. Zoals in dat voorbeeld. Maar te weinig.
Maar ik zeg je wel dit erbij, die paar stapjes zijn het resultaat van enorme druk.
Populisme: de weigering van complexiteit en de poging om simplistische antwoorden te formuleren op ingewikkelde vraagstukken middels gebruik van elke mogelijke prikkel van gedrag - i.p.v. moeite te doen voor gezonde participatie.
Maar ja, hoe ga je dat regelen terwijl je een open en vrije markt propageert (en daar ook voordelen uit haalt).hoevenpe schreef op donderdag 2 april 2020 @ 13:35:
[...]
Dat kan natuurlijk ook als een boemerang terugkomen: landen die zich beseffen dat men zelfvoorzienend moet zijn voor noodzakelijke producten en materialen. Productie weer in eigen hand genomen moet worden, als het al niet nationaal is dan wel in EU verband.
In die context vond ik de oproep in het debat gisteren om dat generieke geneesmiddelenbedrijf open te houden een eerste stap. Hetzelfde geldt voor genoeg andere sectoren.
Enige manieren die ik zie zijn:
- Bedrijven aanwijzen voor productie van bepaalde aantallen en dat subsidieren qua prijs zodat het ook afgenomen wordt tov het buitenland. Maar ja hoe ga je dat doen met aanbesteden etc. etc. Dan ga je weer langzaam richting een planeconomie met alle inefficientie in tijden van non-crisis
- Import tarieven zodat het weer lucratief wordt om hier te produceren (beetje het Trump model)
Het zelfde geldt vrees ik ook voor het bekomen van grondstoffen (en rol van bijvb Afrika in deze) kunnen we daar, op enige etische wijze, concurreren met China (en de VS).
[ Voor 6% gewijzigd door gekkie op 02-04-2020 14:02 ]
Verwijderd
Amerika zal ook een gigantische klap krijgen.
Eenmaal hersteld van dit verwacht ik weer een snelle wereldwijde groei. We weten namelijk de oorzaak van de crisis, dat helpt enorm.
...weer 166 doden...
We gaan het zien.
Zo kwam een iemand van een school uit Zwolle ook aankloppen bij ons of wij nog een laptop op de plank hadden liggen voor één van haar leerlingen, we hebben wat verder uitgevraagd, bleek dat er meer leerlingen een (goedwerkende) laptop nodig hadden. De volgende dag kon ze 20 laptops ophalen voor haar leerlingen.vectormatic schreef op donderdag 2 april 2020 @ 12:37:
https://www.nu.nl/coronav...uis-te-kunnen-werken.html
Positief nieuws wat mij betreft, mooi dat er ook gedacht wordt aan de kwetsbare leerling die geen laptop heeft.
Denk dat lokale it bedrijfjes hier het één en ander ook wel kunnen betekenen. Ligt altijd wel iets op de plank.
Ik denk dat dit wel een redelijk kritiek moment in de geschiedenis van de EU is. Doormodderen zoals nu is eigenlijk geen optie. Dus gaan we terug naar de oude EEG situatie (of verder), of gaan we de weg in naar één echt Europa? Want als ik mensen zie zeggen dat Europa in het vervolg niet meer zo afhankelijk zou moeten zijn van China of de VS, dan denk ik "Met de huidige EU gaat je dat niet lukken." Te veel 'eigen landje eerst' denken.Virtuozzo schreef op donderdag 2 april 2020 @ 13:52:
[...]
Nee. Dan moet er heel veel gebeuren. De crux bij dit soort toepassingen is dat degene die beeld, tempo en herhaling weet te bepalen degene is die de meeste prikkels voor perceptie opbouw schept. Menselijke sociale psychologie doet dan de rest. En dat wordt weer gebufferd vanuit een ander domein van Chinese overheid, het militair-economische (serieus, dat is een land binnen een land, met eigen bedrijven, eigen politiek, eigen middelen, zelfs eigen infrastructuur en bevolkingstoewijzingen). Daar waar "problemen" opduiken lokaal in doelgebied worden bedrijven opgekocht, politici daarbij gecompromitteerd, wordt broken porcelain ingezet, ga zo door.
Zoals het er nu voorstaat hebben we weinig tot geen verweer. Het probleem daarbij is niet de EU, maar de gegroeide traditie van nationale koehandel en het wijzen naar de EU als schuldige bij eigen nationale of partijpolitieke spelletjes. De vertrouwensbasis voor Europees beleid ontbreekt daardoor. Terwijl de expertise en het bereik er juist aanwezig is, en op maar al te vaak afwezig op nationale niveau's.
Ja, er worden stappen genomen. Zoals in dat voorbeeld. Maar te weinig.
offtopic:
Maar ik zeg je wel dit erbij, die paar stapjes zijn het resultaat van enorme druk.
Kudos!Bloodclot schreef op donderdag 2 april 2020 @ 14:00:
[...]
Zo kwam een iemand van een school uit Zwolle ook aankloppen bij ons of wij nog een laptop op de plank hadden liggen voor één van haar leerlingen, we hebben wat verder uitgevraagd, bleek dat er meer leerlingen een (goedwerkende) laptop nodig hadden. De volgende dag kon ze 20 laptops ophalen voor haar leerlingen.
Denk dat lokale it bedrijfjes hier het één en ander ook wel kunnen betekenen. Ligt altijd wel iets op de plank.
Helaas zie je tegenwoordig vrij veel computers geleased worden, of in ons geval gewoon in bulk naar een opkoper gaan, maar de kleinere bedrijven zitten daar minder vast in de corporate regeltjes
Master of the allen wrench Riding a mighty lawnmower for revenge In the realm of the screws he's the king And Lord of the Towel Rings
Even ter aanvulling. Phillips produceert ze over de hele wereld. Is niet US specifiek. Verder hebben ze aangegeven dat de stockpile ondertussen wel op is. Niet heel verwonderlijk ook. Het gaat allemaal om de termijn waarop ze nodig zijn (nu). De US lijkt daar juist wat traag in te zijn, er zijn nog gewoon partijen die vastzitten/nog niet juist zijn aangevraagd.TIGER1125 schreef op donderdag 2 april 2020 @ 13:43:
[...]
Dat is toch gewoon onderdeel van de door Nederland geplaatste bestelling? Dat wij Amerikaanse versies hebben doet daar toch niets aan af en daarbij Philips produceert die dingen toch alleen in de VS, ik vind je reactie dus enigszins kort door de bocht. Inpikken en bestellen/ontvangen van een productielijn zijn 2 verschillende dingen.
De Amerikanen hebben overigens nog een stuk of 5000 van die dingen in hun stockpile liggen las ik vanochtend.
Maar je punt is zeker duidelijk, dat zie je nu natuurlijk ook met die mondkapjes die de Fransen gekocht hadden in China en door de VS worden overgekocht. Dat gaat een keer knellen, en leiden tot conflicten tussen landen onderling.
In dat opzicht hebben de Afrikaanse landen het nog slechter, die kunnen er niet nog even wat dollars overheen gooien nadat de VS dat al gedaan heeft om de Franse voorraad over te kopen. Die landen zijn overgeleverd aan de genade van andere landen die er iets anders voor terug willen...
Positief geteste personen
14.697*
(+1.083)
Ziekenhuis-opnames
5.784
(+625)
Overleden personen
1.339**
(+166)
die cijfers moet je wel in de juiste context zien. Dat is ook het probleem met bijv hoe de NOS het brengt. Als je de RIVM pdf bekijkt zou ik het niet echt tegenvallen noemen:nuker schreef op donderdag 2 april 2020 @ 14:12:
Toch weer tegenvallende cijfers vandaag (RIVM):
Positief geteste personen
14.697*
(+1.083)
Ziekenhuis-opnames
5.784
(+625)
Overleden personen
1.339**
(+166)
https://www.rivm.nl/sites...19%202%20april%202020.pdf
(het zijn gemelde patienten, daar hangt een datum aan die niet gister hoeft te zijn)
[ Voor 7% gewijzigd door maratropa op 02-04-2020 14:17 ]
De Telegraaf toont dit grafiekje. Ik vind de rechte lijn van het aantal besmettingen tegenvallen. Of is dit een verkeerde interpretatie van de cijfers door de Telegraaf en door mij?maratropa schreef op donderdag 2 april 2020 @ 14:16:
[...]
die cijfers moet je wel in de juiste context zien. Dat is ook het probleem met bijv hoe de NOS het brengt. Als je de RIVM pdf bekijkt zou ik het niet echt tegenvallen noemen:
https://www.rivm.nl/sites...19%202%20april%202020.pdf
(het zijn gemelde patienten, daar hangt een datum aan die niet gister hoeft te zijn)

Trotse Volkswagen T1 en T3 bezitter
Daar zit dus ook het punt dat @maratropa aanhaalt. Als er gisteren 2000 besmetting zijn gemeld, dan loopt dit grafiekje met 2000 op. Echter, die meldingen kunnen wel zijn van besmettingen die misschien een week geleden zijn geconstateerd. Die 2000 betekent niet dat er de dag ervoor 2000 nieuwe mensen besmet zijn geraakt.Spotmatic schreef op donderdag 2 april 2020 @ 14:20:
[...]
De Telegraaf toont dit grafiekje. Ik vind de rechte lijn van het aantal besmettingen tegenvallen. Of is dit een verkeerde interpretatie van de cijfers door de Telegraaf en door mij?
[Afbeelding]
"The question of whether a computer can think is no more interesting than the question of whether a submarine can swim" - Edsger Dijkstra
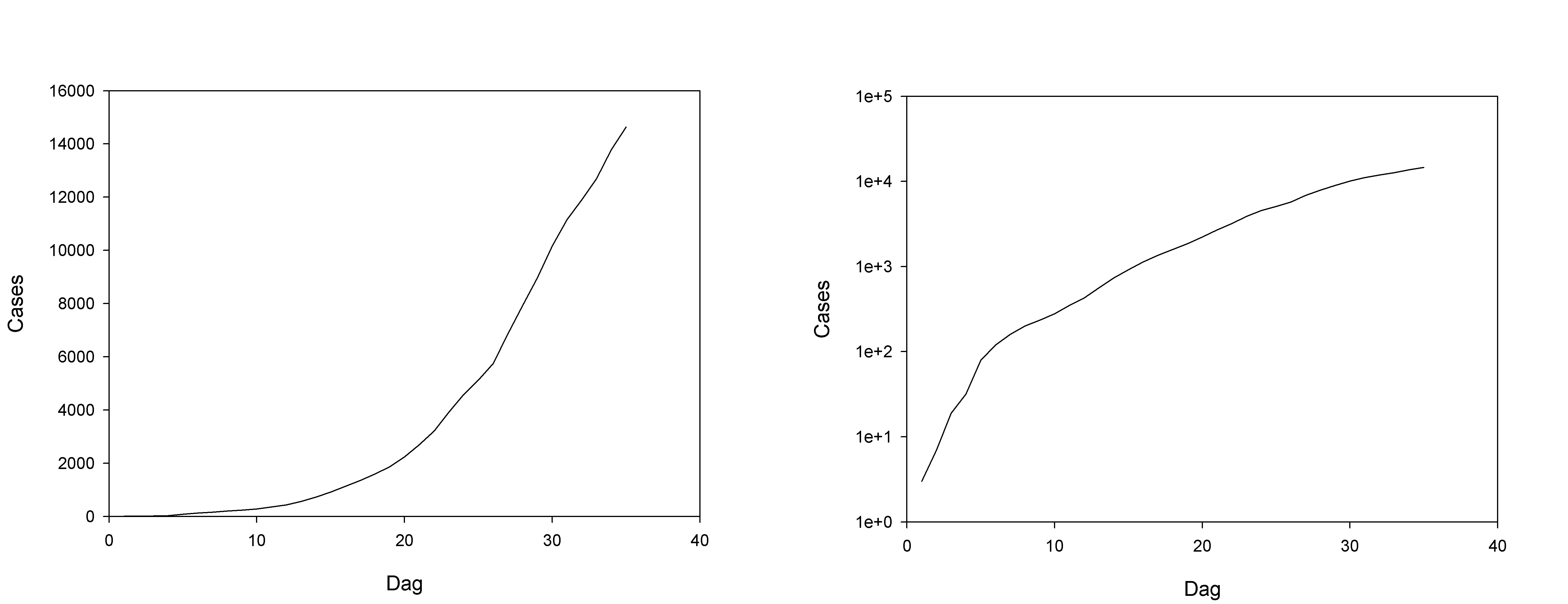
Een rechte lijn is in ieder geval een lineaire stijging, geen exponentieleSpotmatic schreef op donderdag 2 april 2020 @ 14:20:
[...]
De Telegraaf toont dit grafiekje. Ik vind de rechte lijn van het aantal besmettingen tegenvallen. Of is dit een verkeerde interpretatie van de cijfers door de Telegraaf en door mij?
[Afbeelding]
En als je naar de grafiekjes van het RIVM kijkt (https://www.rivm.nl/sites...19%202%20april%202020.pdf, pagina 3) zie je dat het meerendeel van de 166 sterfgevallen niet van vandaag zijn, de helft is nog van dinsdag, en als je naar de hele grafiek kijkt is de exponentiele groei van het begin er echt wel uit.
Master of the allen wrench Riding a mighty lawnmower for revenge In the realm of the screws he's the king And Lord of the Towel Rings
Een rechte lijn op een lineare grafiek, dat kan veeeeel slechterSpotmatic schreef op donderdag 2 april 2020 @ 14:20:
[...]
De Telegraaf toont dit grafiekje. Ik vind de rechte lijn van het aantal besmettingen tegenvallen. Of is dit een verkeerde interpretatie van de cijfers door de Telegraaf en door mij?
[Afbeelding]
Los daar van, de hoeveelheid testen is gelimiteerd, dus de gemelde gevallen besmettingen is niet iets om je al te veel aan vast te houden.
Besmettingen zegt niets meer, vergeet die statistiek.Spotmatic schreef op donderdag 2 april 2020 @ 14:20:
De Telegraaf toont dit grafiekje. Ik vind de rechte lijn van het aantal besmettingen tegenvallen. Of is dit een verkeerde interpretatie van de cijfers door de Telegraaf en door mij?
Regio Utrecht 1850Wp@79° 3700Wp@259°
Jup.vectormatic schreef op donderdag 2 april 2020 @ 14:25:
[...]
Een rechte lijn is in ieder geval een lineaire stijging, geen exponentiele
En als je naar de grafiekjes van het RIVM kijkt (https://www.rivm.nl/sites...19%202%20april%202020.pdf, pagina 3) zie je dat het meerendeel van de 166 sterfgevallen niet van vandaag zijn, de helft is nog van dinsdag, en als je naar de hele grafiek kijkt is de exponentiele groei van het begin er echt wel uit.
En als je goed kijkt is vooral Limburg bezig geweest met het updaten van cases en doden. Die hebben even van de afgelopen dagen alles bijgewerkt...
Niet helemaal toch, als jij consequent zorgmederwerkers en inkomende patienten test bijv, en nog bijv. de nivel stations, kun je daar best wat statistiek aan hangen.hoevenpe schreef op donderdag 2 april 2020 @ 14:27:
[...]
Besmettingen zegt niets meer, vergeet die statistiek.
Hij benoemt de nodige absurditeiten. Over de meest absurde heeft CNN ook bericht: https://edition.cnn.com/t...ronavirus-trnd/index.html
Wat kost een leven dan? Graag in euros.rik86 schreef op donderdag 2 april 2020 @ 12:15:
Maar ik ben inderdaad wel 1 van de tweakers die zich afvraagt of we koste wat 't kost elke directe Corona-dode moeten willen voorkomen; Omdat ik ervan overtuigd ben dat de kosten daarvan niet opwegen tot wat het ons later zal kosten.
Je DM’s worden hier door de Admins gelezen en Geef je waardering voor Tweakers
Dat is appels met peren vergelijken. Ook al kun je er een bedrag aan hangen, dan nog kun je niet berekenen wat in euro's uitgedrukt de kosten zijn van X maanden niet kunnen deelnemen aan het sociale leven.
Sure, maar zonder de context van het veranderende testbeleid, de beperkte capaciteit etc.. kan je er geen statistiek tegen aan gooien, dus zon grafiekje in de telegraaf zegt helemaal niks.maratropa schreef op donderdag 2 april 2020 @ 14:29:
[...]
Niet helemaal toch, als jij consequent zorgmederwerkers en inkomende patienten test bijv, en nog bijv. de nivel stations, kun je daar best wat statistiek aan hangen.
Het RIVM zal er best wat meer kunnen, maar voor de leek is dat getal al weken compleet betekenisloos, en kan je er geen conclusies aan verbinden
Master of the allen wrench Riding a mighty lawnmower for revenge In the realm of the screws he's the king And Lord of the Towel Rings
Mijn God, leeft die ook nog?SvMp schreef op donderdag 2 april 2020 @ 14:34:
Een stukje nuchterheid, Nigal Farage spreekt: YouTube: Nigel Farage - Corona: Stop huisarrest! Stop 5G Huawei!
Hij benoemt de nodige absurditeiten. Over de meest absurde heeft CNN ook bericht: https://edition.cnn.com/t...ronavirus-trnd/index.html
Er zijn ook genoeg jonge mensen die op de IC liggen (daar is eerder al een bron van gegeven).
Daarnaast kun je je nu ook afvragen of iedereen het 'oude leven' meteen weer oppakt als er nog steeds een risico bestaat op het krijgen van covid. Stel ze gaan alles versoepelen, cafés weer open, terrassen open. Ga jij daar dan zitten? Ik denk dat veel mensen heel voorzichtig om zullen gaan met hun gezondheid zolang het risico van covid blijft bestaan.
Verwijderd
Kun je me vertellen wie er voorstander is van "koste wat 't kost elke directe Corona-dode moeten willen voorkomen"? Ik heb nog niemand gevonden die daar voor pleit.rik86 schreef op donderdag 2 april 2020 @ 12:15:
[...]
Maar ik ben inderdaad wel 1 van de tweakers die zich afvraagt of we koste wat 't kost elke directe Corona-dode moeten willen voorkomen;
Toch is in het begin volop beweerd dat het een kwestie is van 3 weken binnenblijven. Nu hoor je dat niet meer. Maar nog steeds wordt de suggestie gewerkt dat het allemaal kort en tijdelijk is. De afgelopen persconferentie is de eerste keer dat ik Rutte concreet hoorde waarschuwen voor de toekomst toen hij afraadde om een meivakantie te boeken.nuker schreef op donderdag 2 april 2020 @ 14:42:
[...]
Er zijn ook genoeg jonge mensen die op de IC liggen (daar is eerder al een bron van gegeven).
Daarnaast kun je je nu ook afvragen of iedereen het 'oude leven' meteen weer oppakt als er nog steeds een risico bestaat op het krijgen van covid. Stel ze gaan alles versoepelen, cafés weer open, terrassen open. Ga jij daar dan zitten? Ik denk dat veel mensen heel voorzichtig om zullen gaan met hun gezondheid zolang het risico van covid blijft bestaan.
Mja een exponentiele curve moet steeds verder stijgen, dwz de richtingscoefficient neemt verder toeSpotmatic schreef op donderdag 2 april 2020 @ 14:20:
[...]
De Telegraaf toont dit grafiekje. Ik vind de rechte lijn van het aantal besmettingen tegenvallen. Of is dit een verkeerde interpretatie van de cijfers door de Telegraaf en door mij?
[Afbeelding]
Daarom wordt het juist vaak op een logaritmische schaal weergegeven, dan zou het een rechte lijn zijn.
Zie nu de data van RIVM: precies dezelfde data, links lineaire schaal, rechts logaritmische (log 10) Y-as
Hier zie je die afvlakking van GGD gemelde cases (voor wat het waard is)
:strip_exif()/f/image/vIzyycBhaf7ldS2F4d9Hb1AA.jpg?f=fotoalbum_small)
Kwam dit tegen over het debat van gisteren, het meest kenmerkende is wel de glimlach van Baudet nadat hij door Rutte in de hoek is gezet. Hij weet dat hij aan het trollen is, het gaat helemaal niet om die brief.Virtuozzo schreef op donderdag 2 april 2020 @ 10:41:
offtopic:
Wat dat aangaat, ik hoop dat mensen wat meer wakker zijn geworden bij Baudet, maar goed, dat is een heel topic op zichzelf.
Regio Utrecht 1850Wp@79° 3700Wp@259°
Klopt ja. Dat vind ik ook verkeerd aangepakt. Ze hebben mensen hoop gegeven dat het maar van korte duur zou zijn. Maar dit gaat nog wel even duren. Goed dat hij dat de vorige keer wel kort aanstipte.SvMp schreef op donderdag 2 april 2020 @ 14:43:
[...]
Toch is in het begin volop beweerd dat het een kwestie is van 3 weken binnenblijven. Nu hoor je dat niet meer. Maar nog steeds wordt de suggestie gewerkt dat het allemaal kort en tijdelijk is. De afgelopen persconferentie is de eerste keer dat ik Rutte concreet hoorde waarschuwen voor de toekomst toen hij afraadde om een meivakantie te boeken.
op dit moment de grote meerderheid van landen in Europa en Nederlanders.Verwijderd schreef op donderdag 2 april 2020 @ 14:42:
[...]
Kun je me vertellen wie er voorstander is van "koste wat 't kost elke directe Corona-dode moeten willen voorkomen"? Ik heb nog niemand gevonden die daar voor pleit.
Er zijn weinig mensen die vraagtekens plaatsen bij langdurige (slimme/gedeeltelijke) lockdown voor onbepaalde tijd. En mensen die dat wel doen, krijgen de verantwoordelijkheid voor doden in de schoenen geschoven.
Heb je hier een bron voor, een onderzoek? Of is dit onderbuik gevoel/echo kamer?SvMp schreef op donderdag 2 april 2020 @ 14:46:
[...]
op dit moment de grote meerderheid van landen in Europa en Nederlanders.
Er zijn weinig mensen die vraagtekens plaatsen bij langdurige (slimme/gedeeltelijke) lockdown voor onbepaalde tijd. En mensen die dat wel doen, krijgen de verantwoordelijkheid voor doden in de schoenen geschoven.
[ Voor 4% gewijzigd door Jivebunny op 02-04-2020 14:49 ]
Pixel 9 Pro XL | NAS: HP Gen8 e3-1265L v2 16GB 12TB unRAID 6.9.2 | D: Ryzen 5600x 16GB 3000mhz RX 6800 XT MB Acer 27" IPS 144hz | Suzuki Swift 1.2 (2013)
Zeker. Maar nu doorpakken. Eerlijk zijn dat het nog wel veel langer kan duren, en dat er geen enkele garantie is dat het na de zomer allemaal wel weer normaal is. En alle disciplines moeten meegenomen worden, niet alleen medici.nuker schreef op donderdag 2 april 2020 @ 14:45:
[...]
Klopt ja. Dat vind ik ook verkeerd aangepakt. Ze hebben mensen hoop gegeven dat het maar van korte duur zou zijn. Maar dit gaat nog wel even duren. Goed dat hij dat de vorige keer wel kort aanstipte.
Ik vind 't juist verstandig; 't is wat dat betreft net de kikker in de pan met koud langzaam opwarmend water i.p.v. die met heet water gooien. Is 't moreel helemaal juist om zo te 'liegen' tegen de bevolking,daar valt over te discussiëren, maar 't is denk ik wel effectievernuker schreef op donderdag 2 april 2020 @ 14:45:
[...]Klopt ja. Dat vind ik ook verkeerd aangepakt. Ze hebben mensen hoop gegeven dat het maar van korte duur zou zijn. Maar dit gaat nog wel even duren. Goed dat hij dat de vorige keer wel kort aanstipte.
Oké, kostte wat 't kost was té zwart/wit van mij, excuus daarvoor; Maar er is wel een grote groep, en op dit forum en in de politiek, die in mijn ogen te snel in de reflex "maar dat levert extra doden op!" schiet wanneer er benoemd wordt dat we óók met de economie rekening moeten houden.Verwijderd schreef op donderdag 2 april 2020 @ 14:42:
[...]Kun je me vertellen wie er voorstander is van "koste wat 't kost elke directe Corona-dode moeten willen voorkomen"? Ik heb nog niemand gevonden die daar voor pleit.
Die meerderheid?Jivebunny schreef op donderdag 2 april 2020 @ 14:48:
[...]
Heb je hier een bron voor, een onderzoek? Of is dit onderbuik gevoel/echo kamer?
Er zijn peilingen geweest in Nederland over wat mensen vinden van de Corona-maatregelen, en verreweg de meeste mensen zijn positief. Een procent of 10% vindt het "te veel", een kleine minderheid.
Je ziet alle Europese ongeveer hetzelfde doen. Alleen Wit-Rusland en in mindere mate Zweden wijken af.
Verwijderd
Is dat beweerd? Ik heb die boodschap zo niet ervaart.SvMp schreef op donderdag 2 april 2020 @ 14:43:
[...]
Toch is in het begin volop beweerd dat het een kwestie is van 3 weken binnenblijven. Nu hoor je dat niet meer. Maar nog steeds wordt de suggestie gewerkt dat het allemaal kort en tijdelijk is. De afgelopen persconferentie is de eerste keer dat ik Rutte concreet hoorde waarschuwen voor de toekomst toen hij afraadde om een meivakantie te boeken.
Nee hoor. Men voorkomt niet "koste wat kost" doden. Anders mocht niemand meer in "de grote meerderheid van landen in Europa" naar buiten om te werken of boodschappen doen. Dan had het leger voedsel rondgebracht en mocht je niet naar je werk. Dat zou echt "koste wat kost" zijn.SvMp schreef op donderdag 2 april 2020 @ 14:46:
[...]
op dit moment de grote meerderheid van landen in Europa en Nederlanders.
Er zijn weinig mensen die vraagtekens plaatsen bij langdurige (slimme/gedeeltelijke) lockdown voor onbepaalde tijd. En mensen die dat wel doen, krijgen de verantwoordelijkheid voor doden in de schoenen geschoven.
De huidige lockdown is niet "koste wat kost". Dat is proberen precies genoeg te doen om de IC capaciteit niet te bereiken terwijl zo veel mogelijk economische activiteiten door kunnen gaan.
Men doet hier altijd alsof niemand naar de economie kijkt. Geloof me, iedereen kijkt daar naar.
Het heeft geen zin... choose your battles...Verwijderd schreef op donderdag 2 april 2020 @ 14:52:
[...]
Is dat beweerd? Ik heb die boodschap zo niet ervaart.
[...]
Nee hoor. Men voorkomt niet "koste wat kost" doden. Anders mocht niemand meer in "de grote meerderheid van landen in Europa" naar buiten om te werken of boodschappen doen. Dan had het leger voedsel rondgebracht en mocht je niet naar je werk. Dat zou echt "koste wat kost" zijn.
De huidige lockdown is niet "koste wat kost". Dat is proberen precies genoeg te doen om de IC capaciteit niet te bereiken terwijl zo veel mogelijk economische activiteiten door kunnen gaan.
Men doet hier altijd alsof niemand naar de economie kijkt. Geloof me, iedereen kijkt daar naar.
ik zie nu zelfs stop 5G youtube linkjes met stop huisarrest...
Verwijderd
Ik ervaar dat totaal niet zo. Ik ervaar vooral de extreem richting economie, laat mensen maar dood gaan want het kost de economie te veel. Ik lees nergens laat de economie maar doodbloeden want anders sterven er te veel.rik86 schreef op donderdag 2 april 2020 @ 14:51:
[...]
Oké, kostte wat 't kost was té zwart/wit van mij, excuus daarvoor; Maar er is wel een grote groep, en op dit forum en in de politiek, die in mijn ogen te snel in de reflex "maar dat levert extra doden op!" schiet wanneer er benoemd wordt dat we óók met de economie rekening moeten houden.
Slechts 5% vindt het 'te veel', daar tegenover staat dat 25% het 'te weinig' vindt dus je zou kunnen stellen dat 'het volk' eerder meer dan minder lockdown wil:SvMp schreef op donderdag 2 april 2020 @ 14:51:
Een procent of 10% vindt het "te veel", een kleine minderheid.
https://www.maurice.nl/pe...oordeel-over-maatregelen/
Regio Utrecht 1850Wp@79° 3700Wp@259°
Okay, maar als ik het goed begrijp: jij vertaald dat 'de meerderheid positief zijn over de maatregelen' (in mijn ogen het vertragen van de toename van besmettingen om ziekenhuizen niet te overbelasten), 'naar kost wat kost voorkomen dat er corona-doden komen'. Want zo zie ik die maatregelen niet. Ik zie alleen maar flatten the curve. Doden zijn er al, en gaan er nog veel komen. Goed ik spreek hier voor mezelf natuurlijk.SvMp schreef op donderdag 2 april 2020 @ 14:51:
[...]
Die meerderheid?
Er zijn peilingen geweest in Nederland over wat mensen vinden van de Corona-maatregelen, en verreweg de meeste mensen zijn positief. Een procent of 10% vindt het "te veel", een kleine minderheid.
Je ziet alle Europese ongeveer hetzelfde doen. Alleen Wit-Rusland en in mindere mate Zweden wijken af.
Pixel 9 Pro XL | NAS: HP Gen8 e3-1265L v2 16GB 12TB unRAID 6.9.2 | D: Ryzen 5600x 16GB 3000mhz RX 6800 XT MB Acer 27" IPS 144hz | Suzuki Swift 1.2 (2013)
Mee eens, je moet je afvragen hoeveel tijd/geld/moeite je op zo'n moment als dit moet spenderen aan het verlengen van een leven met ~6 maanden. Gelukkig worden er nu volop gesprekken gevoerd met ouderen (vanuit huisartsen) hierover zodat ze niet onnodig op de IC komen te liggen (terwijl ze dat vaak zelf niet eens meer willen - maar het nooit kenbaar gemaakt is).rik86 schreef op donderdag 2 april 2020 @ 12:15:
[...]
Ik denk dat er heel weinig zijn die voor 't volledig hervatten pleiten. Maar ik ben inderdaad wel 1 van de tweakers die zich afvraagt of we koste wat 't kost elke directe Corona-dode moeten willen voorkomen; Omdat ik ervan overtuigd ben dat de kosten daarvan niet opwegen tot wat het ons later zal kosten. Het lastige is alleen dat je wel afhankelijk bent van dat zo goed als iedereen zich dan verstandig gedraagt.
“In a world without walls and fences, who needs Windows and Gates".
Mensen die denken dat doden door corona te voorkomen zijn, die zijn nogal.... naïef.Jivebunny schreef op donderdag 2 april 2020 @ 14:55:
'naar kost wat kost voorkomen dat er corona-doden komen'.
Verwijderd
Nee hoor. Het is echt heel simpel.TheBrut3 schreef op donderdag 2 april 2020 @ 15:07:
[...]
Mensen die denken dat doden door corona te voorkomen zijn, die zijn nogal.... naïef.
Zolang we IC capaciteit hebben zijn de doden lastig te voorkomen. Besmet raakt men toch wel uiteindelijk zonder extreme maatregelen. Niemand pleit voor deze "koste wat kost" voorkomen.
Zodra de IC capaciteit te kort komt ben je de sjaak. Dan sterven mensen onnodig, ook aan andere gevolgen dan corona alleen. Die wil je voorkomen.
Iedereen kijkt naar het huidige dodental en stelt "wat een onzin die maatregelen". Je moet kijken naar het dodental wat er geweest was zonder die maatregelen.
Wij hebben al die cultuur hier in NL.... in tegenstelling tot bijvoorbeeld de US, waar iemand koste wat het kost letterlijk en figuurlijk, op die IC gegooid wordt om in leven te houden ook al zijn ze 101. Dit was reeds besproken bij een aantal TV programma's, wij accepteren zelf al vaak dat iemand met zwakke gezondheid niet op de IC terecht komt.TommyGun schreef op donderdag 2 april 2020 @ 15:04:
[...]
Mee eens, je moet je afvragen hoeveel tijd/geld/moeite je op zo'n moment als dit moet spenderen aan het verlengen van een leven met ~6 maanden. Gelukkig worden er nu volop gesprekken gevoerd met ouderen (vanuit huisartsen) hierover zodat ze niet onnodig op de IC komen te liggen (terwijl ze dat vaak zelf niet eens meer willen - maar het nooit kenbaar gemaakt is).
Is vervelend, zo'n selectieve quote die zijn post uit de context trekt.TheBrut3 schreef op donderdag 2 april 2020 @ 15:07:
[...]
Mensen die denken dat doden door corona te voorkomen zijn, die zijn nogal.... naïef.
Zonder voor of tegen een bepaalde lockdown aanpak te willen pleiten (ik weet simpelweg niet wat beste oplossing is), is de vergelijking die je treft nu onmogelijk om te maken en pas achteraf enigszins in te schatten. Enerzijds weet je niet hoe veel doden er zouden zijn met andere maatregelen, anderzijds is het "makkelijk" aangezien je naar de niet-corona-gerelateerde oversterfte kan kijken. Blijft echter de vraag, hoe lang na de laatste corona dode wijzen we deze oversterfte toe aan de extra druk die door corona op gezondheidzorg is ontstaan?Verwijderd schreef op donderdag 2 april 2020 @ 15:10:
[...]
Nee hoor. Het is echt heel simpel.
Zolang we IC capaciteit hebben zijn de doden lastig te voorkomen. Besmet raakt men toch wel uiteindelijk zonder extreme maatregelen. Niemand pleit voor deze "koste wat kost" voorkomen.
Zodra de IC capaciteit te kort komt ben je de sjaak. Dan sterven mensen onnodig, ook aan andere gevolgen dan corona alleen. Die wil je voorkomen.
Iedereen kijkt naar het huidige dodental en stelt "wat een onzin die maatregelen". Je moet kijken naar het dodental wat er geweest was zonder die maatregelen.
DusBoB_HenK schreef op donderdag 2 april 2020 @ 15:13:
[...]
Zonder voor of tegen een bepaalde lockdown aanpak te willen pleiten (ik weet simpelweg niet wat beste oplossing is), is de vergelijking die je treft nu onmogelijk om te maken en pas achteraf enigszins in te schatten. Enerzijds weet je niet hoe veel doden er zouden zijn met andere maatregelen, anderzijds is het "makkelijk" aangezien je naar de niet-corona-gerelateerde oversterfte kan kijken. Blijft echter de vraag, hoe lang na de laatste corona dode wijzen we deze oversterfte toe aan de extra druk die door corona op gezondheidzorg is ontstaan?
Vorkie in "Coronavirus Slowchat #2"
Deze post van mij, met de RIVM PDF als bron, zou niet duidelijk genoeg zijn op het stukje:
Wat denk je als de IC's die rode lijn zouden volgen.....wat voor andere lijn wil je volgen die groene bandbreedte lijkt mij de logische keuze? Wederom, er is een tekort aan spullen, te kort aan IC bedden en ongeacht alles is er straks, als je deze maatregelen laat vlieren buiten de groene bandbreede ook een te kort in verplegend personeel vanwege PTSS en gewoon, ziekte.Enerzijds weet je niet hoe veel doden er zouden zijn met andere maatregelen, anderzijds is het "makkelijk" aangezien je naar de niet-corona-gerelateerde oversterfte kan kijken.
De maatregelen zie ik primair als vertragen van besmettingen om ziekenhuizen niet te overbelasten.Jivebunny schreef op donderdag 2 april 2020 @ 14:55:
[...]
Okay, maar als ik het goed begrijp: jij vertaald dat 'de meerderheid positief zijn over de maatregelen' (in mijn ogen het vertragen van de toename van besmettingen om ziekenhuizen niet te overbelasten), 'naar kost wat kost voorkomen dat er corona-doden komen'. Want zo zie ik die maatregelen niet. Ik zie alleen maar flatten the curve. Doden zijn er al, en gaan er nog veel komen. Goed ik spreek hier voor mezelf natuurlijk.
Echter, de onbepaalde tijdsduur en de intensiteit (boa's en drones afsturen op burgers die even geen afstand houden) zie ik wel als koste wat het kost.
Trouwens, een recent bericht over een peiling over de maatregelen: https://www.noordhollands...et-corona-aanpak-overheid
Verwijderd
Bijzondere definitie van "koste wat kost".SvMp schreef op donderdag 2 april 2020 @ 15:24:
[...]
De maatregelen zie ik primair als vertragen van besmettingen om ziekenhuizen niet te overbelasten.
Echter, de onbepaalde tijdsduur en de intensiteit (boa's en drones afsturen op burgers die even geen afstand houden) zie ik wel als koste wat het kost.
Trouwens, een recent bericht over een peiling over de maatregelen: https://www.noordhollands...et-corona-aanpak-overheid
BOAs bekeuren mij ook voor wildplassen, volgens jouw definitie neemt de regering dus "koste wat kost" maatregelen tegen wildplassen. Ik zou daar dan toch graag een economische afweging van willen zien. Weten we wel wat die maatregelen echt kosten?
Maar jij stuurt nu op iets anders, jij stuurt nu niet op corona, maar jij stuurt op het feit dat jij, hoogstwaarschijnlijk, bang bent dat wij in een situatie komen zoals Turkmenistan? Waar de overheid bepaald wat jij denkt en doet?SvMp schreef op donderdag 2 april 2020 @ 15:24:
[...]
De maatregelen zie ik primair als vertragen van besmettingen om ziekenhuizen niet te overbelasten.
Echter, de onbepaalde tijdsduur en de intensiteit (boa's en drones afsturen op burgers die even geen afstand houden) zie ik wel als koste wat het kost.
Trouwens, een recent bericht over een peiling over de maatregelen: https://www.noordhollands...et-corona-aanpak-overheid
Thanks voor je bron! Verder sluit ik mij wel aan bij wat @Euler212 al zegt.SvMp schreef op donderdag 2 april 2020 @ 15:24:
[...]
De maatregelen zie ik primair als vertragen van besmettingen om ziekenhuizen niet te overbelasten.
Echter, de onbepaalde tijdsduur en de intensiteit (boa's en drones afsturen op burgers die even geen afstand houden) zie ik wel als koste wat het kost.
Trouwens, een recent bericht over een peiling over de maatregelen: https://www.noordhollands...et-corona-aanpak-overheid
Pixel 9 Pro XL | NAS: HP Gen8 e3-1265L v2 16GB 12TB unRAID 6.9.2 | D: Ryzen 5600x 16GB 3000mhz RX 6800 XT MB Acer 27" IPS 144hz | Suzuki Swift 1.2 (2013)
Verwijderd
Ik ervaar dat niet, er moet een goede balans zijn die er volgens mij prima is. Daarnaast neig meer naar een goede economie want een slechte economie levert ook doden op (waarschijnlijk meer dan een paar IC bedden.Verwijderd schreef op donderdag 2 april 2020 @ 14:54:
[...]
Ik ervaar dat totaal niet zo. Ik ervaar vooral de extreem richting economie, laat mensen maar dood gaan want het kost de economie te veel. Ik lees nergens laat de economie maar doodbloeden want anders sterven er te veel.
De onbepaalde tijdsduur is simpel te verklaren, een paar weken terug wisten we niet wat de gevolgen van de maatregels zouden zijn, en met een incubatie/overlijdenstijd van meerdere weken kan je gewoonweg niet heel snel bijsturen. Daarnaast, het is niet alsof als we de curve enigszins platgemept hebben onder de max IC capaciteit, dat we daarna weer vrolijk verder kunnen, we zullen voldoende maatregels moeten handhaven om de curve netjes afgevlakt te houden tot er een vaccin is, of tot een zodanig groot deel van de bevolking het gehad heeft dat de groepsimmuniteit voldoende is om de verspreiding laag te houden.SvMp schreef op donderdag 2 april 2020 @ 15:24:
De maatregelen zie ik primair als vertragen van besmettingen om ziekenhuizen niet te overbelasten.
Echter, de onbepaalde tijdsduur en de intensiteit (boa's en drones afsturen op burgers die even geen afstand houden) zie ik wel als koste wat het kost.
Het is best denkbaar dat eind van de maand sommige maatregels kunnen worden afgezwakt, of vervangen door wat anders, maar we zitten hier echt nog wel een hele tijd aan vast.
Wat de drones en BOAs betreft, als je een maatregels neemt en men luistert niet uit zichzelf, is handhaving dan "koste wat het kost"? Het is ook niet alsof flitsen op de snelweg "koste wat het kost" verkeersdoden voorkomen is.
Master of the allen wrench Riding a mighty lawnmower for revenge In the realm of the screws he's the king And Lord of the Towel Rings
Dit topic is gesloten.
slowchat topic huisregels:
• Geen nutteloze posts, denk even na of je post echt iets toevoegt. Het is hier bovendien geen Huiskamer.
• Geen complottheorieën
• Geen speculaties. Als je iets beweert, doe dat met onderbouwing en bronvermelding.
• Geen discussie over natuurlijke selectie, overbevolking of van soortgelijke strekking.
GoT is niet de plek voor medisch advies.
Wil je informatie over corona raadpleeg dan de officiële overheid informatie op: Ik maak me zorgen over mijn gezondheid. Wat moet ik doen?