With so many things coming back in style, I can't wait till loyalty, intelligence and morals become a trend again.......
? dit, http://www.greenybros.com...M660-(240-250W)-Black.pdfCyberpope schreef op zaterdag 30 maart 2013 @ 15:17:
Moeilijk....die keuze's
Een Eopply + solaredge (met optimizers op elke paneel) met voor 1,70 per pw (prijs leggen geschat, kan ook 1,66 per pw zijn als het leggen iets goedkoper uitvalt)
versus
Yingli + SMA met optitrack voor 1,64 per pw (inclusief leggen bij iemand waar ik een goed gevoel bij heb).
All black is zo ongeveer 700-1000 euro extra (want dan meteen dak helemaal vol, nu 2 openplekken) en wat mooier. Maar vriendin vond dat de het extra geld niet waard...
Iemand nog suggesties voor mij? Wat ik in mijn overwegingen moet meenemen?
plus dit, http://www.greenybros.com/nl/store/shop/involar.html
Ex verzend kosten ex montage, wel all black voor 1,40/ Wp ( ex sub )
( een gateway heeft involar ook wel )
Alleen vrijwel onmogelijk te meten, behalve in een echte testopstelling.
Eigen PV systeem: 68 stuks 205 Wattpiek Suntech zonnepanelen, SMA Tripower 15000TL omvormer. Realtime opbrengst via Sunny Webbox, op onze website.
Zou dat niet ooit eens bij Photon gemeten zijn?SunshineCompany schreef op zaterdag 30 maart 2013 @ 16:07:
Ja, ik zou dat ook wel eens willen weten.
Alleen vrijwel onmogelijk te meten, behalve in een echte testopstelling.
Ik begreep dat dit een toonaangevend blad is voor PV. Die zullen dat soort zaken toch wel eens gemeten hebben?
3040 Wp - 4,7 GJ zonneboiler - WP droger; A+++ wasmachine. Het leven is een aaneenschakeling van leermomenten en de waarheid ligt meestal in het midden; vertrapt door beide partijen. De CO2-discussie: ik geloof hier niet in.
Nope.. 1 van deze 2 die ik nu in mijn kop heb worden het.. Ik ga me niet gek maken, het kan altijd goedkoper.PClop schreef op zaterdag 30 maart 2013 @ 15:40:
[...]
? dit, http://www.greenybros.com...M660-(240-250W)-Black.pdf
plus dit, http://www.greenybros.com/nl/store/shop/involar.html
Ex verzend kosten ex montage, wel all black voor 1,40/ Wp ( ex sub )
( een gateway heeft involar ook wel )
With so many things coming back in style, I can't wait till loyalty, intelligence and morals become a trend again.......
SolarEdge is gaaf spul, maar je bent gebonden aan hun omvormers. Als je een goed gevoel hebt bij SMA...Wat let je.
OptiTrack is natuurlijk geinig, maar schaduwmanagement op stringniveau is m.i. "fundamentally flawed".
databeestje, kom er maar in
Ik heb nu 100% zwart op het dak en de buren verderop blauwe. Ik zou het wel weten: zeker weten zwart, is de meerprijs alleen qua uiterlijk waardCyberpope schreef op zaterdag 30 maart 2013 @ 15:17:
Moeilijk....die keuze's
Een Eopply + solaredge (met optimizers op elke paneel) met voor 1,70 per pw (prijs leggen geschat, kan ook 1,66 per pw zijn als het leggen iets goedkoper uitvalt)
versus
Yingli + SMA met optitrack voor 1,64 per pw (inclusief leggen bij iemand waar ik een goed gevoel bij heb).
All black is zo ongeveer 700-1000 euro extra (want dan meteen dak helemaal vol, nu 2 openplekken) en wat mooier. Maar vriendin vond dat de het extra geld niet waard...
Iemand nog suggesties voor mij? Wat ik in mijn overwegingen moet meenemen?
Een stuk of 4 panelen van 1 x 1,65 passen net naast de dakkapel. Om het gemis aan opbrengst door de schaduw te minimaliseren zit ik te denken om de 4 panelen te voorzien van micro omvormers, dus totaal 4 stuks. Alleen is nu de vraag, kunnen deze micro-omvormers apart op het net worden aangesloten, of gaat dit per groep?
Logging naar het internet is niet echt belangrijk en gezien de vrije hoge prijs van deze systemen is een aparte kWh meter wel voldoende. De orientatie is grofweg ZZO en de dakhelling is ongeveer 30 graden. Ik hoop dat de micro-omvormers een redelijk rendament gaan geven, zodat een groot gedeelte van het verbruik gedekt gaat worden en het virus weer onder controle is.
Of moet ik niet te moeilijk denken en gewoon 4 panelen en 2 steca 500 plaatsen?
4285 Wp op ZO, 1200 Wp op schuur en 880 Wp op NW, DWTW en 7 kW houtkachel
Verwijderd
4 micro inverter of 2 steca500 waarbij je 1 van die 2 gebruikt voor de 2 panelen waar potentieel de meeste schaduw op kan komen.
[ Voor 118% gewijzigd door Dre op 30-03-2013 23:31 . Reden: Teveel offtopic ]
Verwijderd
bij meer dan 1000 khw heb je vooraf je inschatting verkeerd gemaakt tussen eigen vebruik en te verwachtten opbrengst.
sluit een deal met je buren dat ze de netto prijs betalen oftewel 11 cent / kwh
kwh metertje ertussen en maandelijks afrekenen
[ Voor 100% gewijzigd door Dre op 30-03-2013 23:31 . Reden: Teveel offtopic ]
8,5 kW hout / 5,5 kWp zon / 5,6 kW multisplit L/L WP
Daar heb je toch LED verlichting voor, is het niet meer duisterDre schreef op zaterdag 30 maart 2013 @ 18:18:
[semiofftopic]
..... Plantjes kweken is een wat duistere hobby, dus gaat het ook niet worden........
Ik heb ook duidelijk teveel. Nu nog een overschot van 180 kWh en dat wordt alleen maar meer. Geschat overschot voor het komende jaar ongeveer 500-800 kWh. Ik zit idd te kijken naar inductie, maar gewoon terugleveren voor een kleine vergoeding is eigenlijk geen probleem. Je levert groene stroom aan je buren, en dat geeft ook weer een goed gevoel. Een airco in de zomer kan overigens ook een goed gevoel geven...
Voor de niet-neggies: meer produceren dan je eigen verbruik kan nu niet handig lijken, maar in de toekomst heb je misschien meer nodig. De panelen gaan in rendement achteruit en, dat vang je iig op. De prijs per Wp is flink lager voor grote systemen, dus de lage terugleververgoeding hoeft dan ook geen groot probleem te zijn. En overstappen naar een gas-loos bestaan kan dan ook tot de mogelijkheden gaan horen. Warmtepompen worden zeer waarschijnlijk goedkoper en dan heb je alvast de stroom om dit te laten draaien.
[ Voor 62% gewijzigd door drielp op 30-03-2013 18:46 ]
4285 Wp op ZO, 1200 Wp op schuur en 880 Wp op NW, DWTW en 7 kW houtkachel
Noord-Oost-Zuid-West 11640Wp Totaal Live, Netduino advanced pv logging
Dan weet je toch al wat je er mee gaat doen?Dre schreef op zaterdag 30 maart 2013 @ 18:29:
Meer dan 1 MWh, en het heeft niks met verkeerde inschatting te maken, maar met een bewuste, verstandige en doordachte keuze.
Anders is de inschatting verkeerd, keuze onbewust, onverstandig en niet doordacht
18950Wp🌞, Atlantic 270V3💧, Pana 5J🔥. Zendure 2400AC 11,5kWh🔋,Hyundai Kona 64kWh 🚗, Peblar Home ⛽
De combinatie van veel zon en (te) veel warmte kan je dan pareren met verkoeling.
Het scheelt mij aardig wat uurtjes nachtrust als het <25 graden in de slaapkamer is
Ook handig als je in huis teveel warmte hebt omdat je die zelf produceert, zoals hier met een hometheater setje die in vol bedrijf 1500W in warmte omzet
PVoutput 2x Toshiba Daiseikai 8 3,5kW, SWW Atlantic Explorer V3 200l. Gasloos aug 2016, 8620Wp, Monoblock Panasonic J 7kW
Het idee is goed maar dan wel 1 die kan verwarmen in de winter zodat je gas kan uitsparen.Speedy-Andre schreef op zaterdag 30 maart 2013 @ 18:50:
Ik heb geen pv overschot, maar ik zit wel aan een vaste airco in enkele kamers te denken.
De combinatie van veel zon en (te) veel warmte kan je dan pareren met verkoeling.
Het scheelt mij aardig wat uurtjes nachtrust als het <25 graden in de slaapkamer is
Ook handig als je in huis teveel warmte hebt omdat je die zelf produceert, zoals hier met een hometheater setje die in vol bedrijf 1500W in warmte omzet
Noord-Oost-Zuid-West 11640Wp Totaal Live, Netduino advanced pv logging
Verwijderd
Ik heb voor mijn zwarte panelen weggeteld een € 10,- per stuk meer betaald. Is € 1000,- meer voor zwart niet erg veel?Cyberpope schreef op zaterdag 30 maart 2013 @ 15:17:
Moeilijk....die keuze's
Een Eopply + solaredge (met optimizers op elke paneel) met voor 1,70 per pw (prijs leggen geschat, kan ook 1,66 per pw zijn als het leggen iets goedkoper uitvalt)
versus
Yingli + SMA met optitrack voor 1,64 per pw (inclusief leggen bij iemand waar ik een goed gevoel bij heb).
All black is zo ongeveer 700-1000 euro extra (want dan meteen dak helemaal vol, nu 2 openplekken) en wat mooier. Maar vriendin vond dat de het extra geld niet waard...
Iemand nog suggesties voor mij? Wat ik in mijn overwegingen moet meenemen?
Het zou een inverter type worden, die kunnen meestal ook verwarmen.Rol-Co schreef op zaterdag 30 maart 2013 @ 18:58:
[...]
Het idee is goed maar dan wel 1 die kan verwarmen in de winter zodat je gas kan uitsparen.
Echter is het nadeel wel dat je de cv geheel stil legt doordat de airco in de huiskamer de thermostaat uit zet.
De rest van het huis koelt dan af en wat als je daar warmte wilt?
PVoutput 2x Toshiba Daiseikai 8 3,5kW, SWW Atlantic Explorer V3 200l. Gasloos aug 2016, 8620Wp, Monoblock Panasonic J 7kW
Niet je airco in de kamer van de thermostaat zetten.Speedy-Andre schreef op zaterdag 30 maart 2013 @ 19:54:
[...]
Het zou een inverter type worden, die kunnen meestal ook verwarmen.
Echter is het nadeel wel dat je de cv geheel stil legt doordat de airco in de huiskamer de thermostaat uit zet.
De rest van het huis koelt dan af en wat als je daar warmte wilt?
Alleen de huiskamer verwarmen doe ik nu ook al, maar dan met een houtkachel. Een beetje terug naar de tijd toen er nog geen cv was. (Ik woon nu 10 jaar in dit huis en is voor het eerste met CV.)Speedy-Andre schreef op zaterdag 30 maart 2013 @ 19:54:
[...]
Het zou een inverter type worden, die kunnen meestal ook verwarmen.
Echter is het nadeel wel dat je de cv geheel stil legt doordat de airco in de huiskamer de thermostaat uit zet.
De rest van het huis koelt dan af en wat als je daar warmte wilt?
Ik begrijp dat dit met kinderen in huis een mindere WAF/KAF heeft. Een airco met verwarming op de slaapkamers is dan een optie.
Of een tweede thermostaat in een andere ruimte en de radiatoren in de huiskamer dichtzetten. Of zone regelde ruimteverwarming, daar is een ander topic voor.
[ Voor 10% gewijzigd door drielp op 30-03-2013 20:59 ]
4285 Wp op ZO, 1200 Wp op schuur en 880 Wp op NW, DWTW en 7 kW houtkachel
Heb ik nu met een cv en thermostaatkranen ook, boven veel kouder als beneden maar is niet erg omdat slapen in een kamer van 20 graden toch niet lekker is.Speedy-Andre schreef op zaterdag 30 maart 2013 @ 19:54:
[...]
Het zou een inverter type worden, die kunnen meestal ook verwarmen.
Echter is het nadeel wel dat je de cv geheel stil legt doordat de airco in de huiskamer de thermostaat uit zet.
De rest van het huis koelt dan af en wat als je daar warmte wilt?
Wil je dit wel kan je een 2e thermostaat boven hangen, maar hier is dat geen probleem vind ik.
Voordeel is somers lekker koel en swinters gas besparen, ik denk er serieus over na, weet iemand het verbruik van zo'n ding?
Noord-Oost-Zuid-West 11640Wp Totaal Live, Netduino advanced pv logging
nee, want dan vind ik ook dat ik een even aantal en mijn dak moet volleggen. En dan moet ik ook met microinverters gaan werken. En dan loopt het op.Verwijderd schreef op zaterdag 30 maart 2013 @ 19:10:
[...]
Ik heb voor mijn zwarte panelen weggeteld een € 10,- per stuk meer betaald. Is € 1000,- meer voor zwart niet erg veel?
With so many things coming back in style, I can't wait till loyalty, intelligence and morals become a trend again.......
Een 2e thermostaat is wel een idee en dan in de huiskamer thermostaatkranen of eventueel elektrische kranen.Rol-Co schreef op zaterdag 30 maart 2013 @ 21:10:
[...]
Heb ik nu met een cv en thermostaatkranen ook, boven veel kouder als beneden maar is niet erg omdat slapen in een kamer van 20 graden toch niet lekker is.
Wil je dit wel kan je een 2e thermostaat boven hangen, maar hier is dat geen probleem vind ik.
Voordeel is somers lekker koel en swinters gas besparen, ik denk er serieus over na, weet iemand het verbruik van zo'n ding?
Het verbruik hangt af van de capaciteit en het aantal binnen units, het begint bij 700W (inverters).
Ik denk aan een multi-split versie zodat je maar 1 buitenunit hebt en 1x leidingen naar dat ding.
PVoutput 2x Toshiba Daiseikai 8 3,5kW, SWW Atlantic Explorer V3 200l. Gasloos aug 2016, 8620Wp, Monoblock Panasonic J 7kW
Verwijderd
Jeps, dat uitlezen per paneel gaf voor mij de doorslag, al heb jij een ander merk is het systeem hetzelfde !xxxMaverick schreef op zaterdag 30 maart 2013 @ 10:12:
[...]
Ik heb net 2 weken geleden 16 panelen laten installeren met micro omvormers van enecsys. Groot voordeel: je kan per paneel uitlezen op internet wat ze opbrengen en weet dus meteen als er iets mis is. Zo blijkt 1 paneel na een week gestopt te zijn met leveren. Op zich geen probleem want de anderen doen volledig mee. Ook leuk om het verschil te zien tussen de panelen op het platte dak en de 2e groep op het schuine dak
ben er tevreden mee dus vind het een aanrader, meerprijs viel me mee
Ook door twee/drie panelen die gedeeltelijk (voor een deel van de dag) in de schaduw liggen, liggen eigenlijk esthetisch op het dak, net als dat alle panelen volledig zwart zijn trouwens !!!
Daarvoor heb ik die meerprijs er wel voor over ...
(Off-Topic)
Bovendien heb ik op het dakkapel (ook schuin dak) nog ruimte over voor 2 x 2M² zonnecollectoren, in de nabij toekomst moet de Cv ketel vervangen worden en wil graag (bij)verwarmen ...
Is wel een ander verhaal ... moet er ook nog helemaal induiken
Mmm, het was geen vraag. Ik heb 5 offertes gehad en een twintigtal websites bekeken op kosten voor pakketten + montage. Ik heb er zegge en schrijve 1 gevonden die er iets onder zat (via website). Kosten via de VEH-inkoop is €1,39 per Wp. Nog niet zo lang geleden was dat incl. Installatie net onder de €2. Nu ben ik niet bang voor kritiek (als het goedkoper kan houd ik me altijd aanbevolenizdp schreef op zaterdag 30 maart 2013 @ 01:29:
Was een vraag waar goedkoper dan VEH actie.
Nou zat goedkoper voor iedereen die wat verder kijkt dan zijn neus lang is.
Dit is niet aardig gezegd en ik weet dat er ook zat mensen zijn voor wie het een soort wereldvreemde materie blijft. En toch mee willen doen.
Daarom zijn die acties op zich geweldig.
Waarom mijn azijn?
Omdat een belangenvereniging van consumenten de consumentenbelangen moet verdedigen ipv
extra aan ze te verdienen.
Als de veh niet bijzonder veel verdiend aan deze actie en als financieringsbron gebruikt voor de belangenbehartiging van hun leden dan is het nog erger dan erg.
Met hun massa is dat een inkoopkracht die veel verder moet reiken dan mijn paar paneeltjes.
Als ik tegen dezelfde prijzen vergelijk vind ik ze al duur.
Met hun massa vind ik ze bezopen duur en met hun vrijwel alle inkoopacties.
Alleen wat LTO gebeuren zag ik redelijk voorbij komen.
Met die daken al la die van mij, heeft dan de installateur een beste boterham en is er geld om het goed te organiseren.
Blijkbaar deugt de organisatie niet in de kern bij al die inkoopacties en is het wat mij betreft legale oplichting van onwetendheid.
In ieder geval heeft kwaliteit er niets mee te maken gezien de keuze van panelen en omvormers wat ik voorbij heb zien trekken.
Als er nergens kwaad in het spel is qua geld dan zou ik graag willen weten waar het geld allemaal blijft.
En dat de panelen en omvormer hier misschien niet de meest aangeprezen zijn, weet ik. Maar dat betekent niet dat ze slecht zijn. Uiteraard voor zover ik google mag geloven...
En ja, ik weet dat ze er aan "verdienen". Geeft niet, als ze er maar zijn als er iets niet goed loopt. En die positieve ervaring met VEH heb ik wel.
Kleine aanvulling: SolarEdge komt dit jaar met optimizers die gecombineerd kunnen worden met andere omvormers. Wanneer dat zal zijn, weet ik niet.hansdegit schreef op zaterdag 30 maart 2013 @ 17:56:
SolarEdge is gaaf spul, maar je bent gebonden aan hun omvormers.
edit: deze?
http://www.solaredge.com/groups/powerbox/module-add-on
[ Voor 39% gewijzigd door hansdegit op 30-03-2013 23:00 ]

3300Wp no | 2475Wp zo | SMA5000TL21 | 990Wp zzo garage | Steca 500 | | PVoutput SMA + Steca | Zero DS electric bike
Eigenlijk is het simpel je nermt een alu h profiel wat over de zonne pneel pas schuift en afdiichten met epdm
En voila simpel en licht in gewicht en stevig
Mjammie
Noord-Oost-Zuid-West 11640Wp Totaal Live, Netduino advanced pv logging
6.250Wp - ZW op SMA SB5000TL-21 + 6.510WP ZO, 31grad. + 3.720Wp - NW, 31grad, op SE5000er-01 + Pana Monoblock 6kW
[ Voor 98% gewijzigd door Dre op 20-01-2014 17:44 ]
Als je het uit kostenbesparing wilt doen (geen dak meer nodig omdat die functie door panelen wordt overgenomen) Dan zou ik zeggen, niet doen. Gewoon een goedkoop golfplaten dak met daarom panelen. De indak systemen zijn namelijk duurder.hors0125 schreef op zondag 31 maart 2013 @ 18:17:
Weet iemand een systeem om panelen te integreren in een schuin dak, bij wijze van vervanging van het glas? Familie wil graag op het dak van onderstaand schuurtje (met ongeveer 35 graden en recht op het zuiden en met open zicht) zonnepanelen plaatsen. Het schuurtje moet eerst grondig verbouwd worden en dit project willen ze graag meenemen. De zuidkant van het dak is nu van glas met een constructie van een kas.
[afbeelding]
Die ligt zo ver weg om zo uit de schaduw van de grote boom te blijven.
Het is een besmettelijk virus; eerst mijn dak, toen het dak van de mensen die in het linker huis op de foto wonen en nu de kas van m'n zwager. Ik hoef ze alleen maar mijn terugdraaiende meter te laten zien en iedereen wordt besmet.
@MeTooPV, ik zal het met hem bespreken. Hij dacht eraan om de standaard kas alu-frames te gebruiken en dan de panelen hierin te kitten i.p.v. de glasplaten.
3300Wp no | 2475Wp zo | SMA5000TL21 | 990Wp zzo garage | Steca 500 | | PVoutput SMA + Steca | Zero DS electric bike
Ik zit daar ook naar te kijken maar dacht aanhors0125 schreef op zondag 31 maart 2013 @ 21:53:
@ roll-co, daar ligt al PV! Net een hoekje nog te zien boven het midden van de nok van de kas..
Die ligt zo ver weg om zo uit de schaduw van de grote boom te blijven.
Het is een besmettelijk virus; eerst mijn dak, toen het dak van de mensen die in het linker huis op de foto wonen en nu de kas van m'n zwager. Ik hoef ze alleen maar mijn terugdraaiende meter te laten zien en iedereen wordt besmet.
@MeTooPV, ik zal het met hem bespreken. Hij dacht eraan om de standaard kas alu-frames te gebruiken en dan de panelen hierin te kitten i.p.v. de glasplaten.
1) Een houten frame ( als een kozijn) op de maat van de panelen, De randen kitten zodat er geen water in blijft staan. ( gewoon met 2x3 tjes, wel verduurzaamd )
2) Alu profielen van kassen ( met rubber rand) kan wel maar die gaan uit van het overlappen van het glas op de horizontale overgangen. Dat is met panelen wat vervelend.....
3) Gewoon 2de hands dak pannen / golfplaten en dan de normale frames met pan haken.
1 lijkt me het goedkoopst en 3 het duurst.
~40kWp,2xSE7k,Victron 3xMPII48/10kVA+Mppt450(200/100), 135kWh Docan LFP, 25kW houtkachel, 120 Heatpipes+1210L, linkedin
3 dakhaken per m2 panelen.paulv1973 schreef op zondag 31 maart 2013 @ 21:09:
Wat is de minimale of geadviseerde dakhaak afstand bij Click-fit?
[ Voor 42% gewijzigd door Bartjuh op 31-03-2013 23:42 ]
In dit http://zonstraal.forumup....ht=indak&mforum=zonstraal staan veelhors0125 schreef op zondag 31 maart 2013 @ 18:17:
Weet iemand een systeem om panelen te integreren in een schuin dak, bij wijze van vervanging van het glas? Familie wil graag op het dak van onderstaand schuurtje (met ongeveer 35 graden en recht op het zuiden en met open zicht) zonnepanelen plaatsen. Het schuurtje moet eerst grondig verbouwd worden en dit project willen ze graag meenemen. De zuidkant van het dak is nu van glas met een constructie van een kas.
[afbeelding]
tips en praktijk voorbeelden
Nog even mijn complimenten voor Zonnekompas.nl voor de enorm soepele levering
Ik ben erg benieuwt hoe de prestaties zijn ten opzichte van mijn bestaande set bovende dakkapel (5 Canadian solar ook op een SB1200)

De onderste rij is nieuw

[ Voor 9% gewijzigd door revolution-nl op 01-04-2013 09:23 ]
Vroemt met EV | 10.000WP | 14kWh Thuisaccu | 2x MHI SRK/SRC 35 ZS | LG-WH27s Boiler
Nu nog de voorkant van je dakkapel helder wit schilderen en witte zonnewering voor de ramenrevolution-nl schreef op maandag 01 april 2013 @ 09:14:
Gister eindelijk een gaatje gevonden om de Yingli's het dak op te slingeren. De installatie ging weer erg voorspoedig, hier en daar een sneeuw buitje maar dat mocht de pret niet drukken. De Yingli's staan aangesloten op een SMA SB1200.
Nog even mijn complimenten voor Zonnekompas.nl voor de enorm soepele levering![]()
Ik ben erg benieuwt hoe de prestaties zijn ten opzichte van mijn bestaande set bovende dakkapel (5 Canadian solar ook op een SB1200)
[afbeelding]
De onderste rij is nieuw
[afbeelding]
( ok, is geen kijk maar wedden dat je rendement omhoog schiet )
Als je er tegen aan kijkt en je let erop dan zien de cellen van de canadians er iets anders uit als de yingli'sVerwijderd schreef op maandag 01 april 2013 @ 09:42:
Mooi hoor, het verschil tussen deze twee sets zie je amper.
Ben wel blij dat de kleur blauw gelijk is.
Ik ben bang dat de WAF daarvoor niet zo hoog isPClop schreef op maandag 01 april 2013 @ 09:43:
[...]
Nu nog de voorkant van je dakkapel helder wit schilderen en witte zonnewering voor de ramen
( ok, is geen kijk maar wedden dat je rendement omhoog schiet )

Ik zie nu wel direct wat de winst is van twee MPP trackers, of in mijn geval twee omvormers. Ben blij dat ik daar toch voor gekozen heb.
Alleen door de dakkapel blijft het vermogen van de onderste set toch langer lager. Daar komt toch iets schaduw als de zon erop begint te draaien.
We gaan het zien wat verschil in prestatie is onder vs boven
[ Voor 24% gewijzigd door revolution-nl op 01-04-2013 09:49 ]
Vroemt met EV | 10.000WP | 14kWh Thuisaccu | 2x MHI SRK/SRC 35 ZS | LG-WH27s Boiler
En ziet er mooi uit revolution.. Ik vind het niet storen dat het niet all-black is.. (en gaat weer verder twijfel, maar de knoop moet een keer door gehakt worden).
With so many things coming back in style, I can't wait till loyalty, intelligence and morals become a trend again.......
Alex heeft ook full black panelen:Cyberpope schreef op maandag 01 april 2013 @ 10:48:
Iemand bekend met Alex zonne panelen (Alex-solar.com).
En ziet er mooi uit revolution.. Ik vind het niet storen dat het niet all-black is.. (en gaat weer verder twijfel, maar de knoop moet een keer door gehakt worden).
http://www.sun-solar.nl/?...250-wp-zonnepanelen-zwart
Bepaalde tijd van het jaar is dat verschil nog erger, dan komt de zon langzaam over de huizen naast je en dan vangt het hoge deel eerder en dus ook eerder op snelheid.revolution-nl schreef op maandag 01 april 2013 @ 09:47:
[...]
Ik zie nu wel direct wat de winst is van twee MPP trackers, of in mijn geval twee omvormers. Ben blij dat ik daar toch voor gekozen heb.
Alleen door de dakkapel blijft het vermogen van de onderste set toch langer lager. Daar komt toch iets schaduw als de zon erop begint te draaien.
We gaan het zien wat verschil in prestatie is onder vs boven
Op jaarbasis mischien niet merkbaar maar ik zag dat ook met de effekta vs piko
Noord-Oost-Zuid-West 11640Wp Totaal Live, Netduino advanced pv logging
Mijn gewenste situatie:
Dak 1, ligging zuid, helling 29º, 6 panelen Yingli YL270C-30b
Dak 2. ligging zuid, helling 29º, 4 panelen Yingli YL270C-30b
Dak 2 ligt wat lager naast dak 1, waardoor later op de dag i.i.g. schaduw op 1 paneel zal vallen.
Gedachten was dan ook een omvormer met 2 MPPT's toe te passen,echter 4 panelen, aangesloten op 1 MPPT wordt Voc te laag.
Advies van Guus (zonnestroom.eu) is gebruik te maken van 4x Tigo voor het groepje van 4 panelen.
Lijkt mij op zich een goede oplossing, echter wordt het totaal plaatje dan ook weer duurder. Klein puntje welk niet rampzalig is lijkt mij: Levensduur zonnepanelen is min. 25 jaar, levensduur van Tigo daarentegen 20 jaar.
Mijn dak is vol, wat nu, ik maak 2 zonneweringen van 2 x 150Wp sunlink panelen
voor de voorramen van de woonkamer.......................
Heb alles al in huis, van EBay komen de 2 sunlink panelen en de Involar ( goedkoopst )
is gewoon in nederland besteld.
http://sv650s.home.xs4all...nvolar/SunLink%20155w.pdf
http://sv650s.home.xs4all...eu%20micro%20omvormer.pdf
Heb vandaag even de panelen plus omvormer getest op ZZO hoek~ 5 graden, als de tierelier

Foto hier boven is gemaakt om 12.00u, foto beneden om 13.30u ( hoogste zonnestand )
[ Voor 9% gewijzigd door PClop op 01-04-2013 13:39 ]
Leuk ! Waarmee ga je die ophangen? Zelfbouw of is zoiets wel een beetje betaalbaar te krijgen in de handel ? Ben benieuwd hoe dat er uit gaat zien (mijn dak is ook vol ..)PClop schreef op maandag 01 april 2013 @ 13:08:
Even een testje![]()
Mijn dak is vol, wat nu, ik maak 2 zonneweringen van 2 x 150Wp sunlink panelen
voor de voorramen van de woonkamer.......................
Heb alles al in huis, van EBay komen de 2 sunlink panelen en de Involar ( goedkoopst )
is gewoon in nederland besteld.
Cool! Is dat zo'n gemodificeerde kWh-meter? Zo een heb ik er volgens mij ook nog liggen. Die ga ik dan ook maar eens omsolderen!PClop schreef op maandag 01 april 2013 @ 13:08:
Mijn dak is vol, wat nu, ik maak 2 zonneweringen van 2 x 150Wp sunlink panelen
voor de voorramen van de woonkamer.......................
Heb alles al in huis, van EBay komen de 2 sunlink panelen en de Involar ( goedkoopst )
is gewoon in nederland besteld.
ja.. dat weet ik. Maar ik ken het merk niet en kan er ook niet veel over vinden.Tafkar schreef op maandag 01 april 2013 @ 10:53:
[...]
Alex heeft ook full black panelen:
http://www.sun-solar.nl/?...250-wp-zonnepanelen-zwart
With so many things coming back in style, I can't wait till loyalty, intelligence and morals become a trend again.......
Nee dit type promax van de formido werkt beide kanten op, hoef je dus niets aan om te bouwen.BamSlam_ schreef op maandag 01 april 2013 @ 15:56:
[...]
Cool! Is dat zo'n gemodificeerde kWh-meter? Zo een heb ik er volgens mij ook nog liggen. Die ga ik dan ook maar eens omsolderen!
Gewoon zelfbouw, met wat 40x40x4 alu hoek profiel, bouten en moeren M10 en steenankersElectricAlex schreef op maandag 01 april 2013 @ 15:47:
[...]
Leuk ! Waarmee ga je die ophangen? Zelfbouw of is zoiets wel een beetje betaalbaar te krijgen in de handel ? Ben benieuwd hoe dat er uit gaat zien (mijn dak is ook vol ..)
voor de muur bevestiging.
Er komen wel foto's als het klaar is in de loop van deze maand.
In de specs staat dat ie een beveiliging heeft tegen overtemperatuur (groter of gelijk aan 50 graden)
Betreft dat de interne temp of de temp van het koelelement?
Ik vraag dit omdat vandaag de 50 graden (intern) is aangetikt.
En daar het nu nog niet warm is op zolder, ben ik benieuwd wat dat gaat brengen als we een paar maanden verder zijn.
12x SH-230P6 all-black op een Effekta ES3300 live en 22x SM55 op 2 Steca's 500 en 1 Steca 300 live
[ Voor 101% gewijzigd door Dre op 20-01-2014 17:44 ]
Die van mij zat op 49 graden vandaag..MieJuul schreef op maandag 01 april 2013 @ 17:53:
Even een vraag voor Effekta gebruikers (en wellicht ook andere passief gekoelde omvormers)

Kijk dat is nu een voordeel dat de omvormer buiten hangt (onder carport) blijft ie relatief koel
Ben benieuwd wat een "indoor" omniksol doet
[ Voor 9% gewijzigd door zonnebaas op 01-04-2013 18:03 ]
Omnik 4.0 - 1e string- 1755 W - 2e string 2500 W Oost
[ Voor 100% gewijzigd door Dre op 20-01-2014 17:44 ]
Verwijderd
En full black HJ Solar 250 WP voor € 208,- per paneel? Ik heb er weer 3 in bestelling. De 10 die ik nu heb draaien als een tierelier.Cyberpope schreef op maandag 01 april 2013 @ 10:48:
Iemand bekend met Alex zonne panelen (Alex-solar.com).
En ziet er mooi uit revolution.. Ik vind het niet storen dat het niet all-black is.. (en gaat weer verder twijfel, maar de knoop moet een keer door gehakt worden).
[ Voor 107% gewijzigd door Dre op 20-01-2014 17:44 ]
bedoel je vergunnings- vrij bouwen?Verwijderd schreef op maandag 01 april 2013 @ 18:39:
Het uit de kant blijven van de dakrand....
http://www.rijksoverheid....oren-en-zonnepanelen.html
7x245Wp(15 graden) + 7x245Wp(45 graden) op oost en 10x300Wp(45 graden) op west. (4kW omvormer)
Verwijderd
dat mag wel je hebt dan alleen een vergunning nodig.Verwijderd schreef op maandag 01 april 2013 @ 18:48:
Precies. Hoogste punt paneel is afstand tot rand dak. Dus paneel 1meter hoog is dan toch 1 meter uit de kant blijven ? Ik had begrepen dat dit niet geld als een schuurtje in achtertuin staat ?
(eigenlijk het zelfde als je een bepaald type schuurtje zou bouwen in de tuin.)
7x245Wp(15 graden) + 7x245Wp(45 graden) op oost en 10x300Wp(45 graden) op west. (4kW omvormer)
Verwijderd
3 panelen neerleggen ? Bedoel je plat op het dak ? Want met een hellingshoek kan ik er volgens mij maar 2 kwijt. Plat op dak lijkt me voor het rendement niet echt gunstig.Dre schreef op maandag 01 april 2013 @ 18:34:
[...]
Welke eisen doel je op?
[Edit]
Ik zou gewoon 3× 1 meter paneel neerleggen.
Vandaag intern 51C, koelplaat 55C (ES5000), van terugregelen was volgens mij nog geen sprake, alhoewel de grafiek er vandaag zo grillig uitzag door de schapewolkjes dat je daar ook niet veel van kan zeggen.MieJuul schreef op maandag 01 april 2013 @ 17:53:
Even een vraag voor Effekta gebruikers (en wellicht ook andere passief gekoelde omvormers)
In de specs staat dat ie een beveiliging heeft tegen overtemperatuur (groter of gelijk aan 50 graden)
Betreft dat de interne temp of de temp van het koelelement?
Vermogen was op dat moment 2400W, bij een rendement van 96%.
Het zou me overigens verbazen als 50C de max. temperatuur zou zijn, dat lijkt me erg laag voor een stuk elektronica van dit kaliber.
Zie net dat op 27 april intern 60C, extern 55C gehaald is. De grafiek loopt keurig (soort van) paraboolvormig, dus don't worry
[ Voor 100% gewijzigd door Dre op 20-01-2014 17:44 ]
Haha, nou ik zie het al.Joepla schreef op maandag 01 april 2013 @ 20:16:
[...]
Vandaag intern 51C, koelplaat 55C (ES5000), van terugregelen was volgens mij nog geen sprake, alhoewel de grafiek er vandaag zo grillig uitzag door de schapewolkjes dat je daar ook niet veel van kan zeggen.
Vermogen was op dat moment 2400W, bij een rendement van 96%.
Het zou me overigens verbazen als 50C de max. temperatuur zou zijn, dat lijkt me erg laag voor een stuk elektronica van dit kaliber.
Zie net dat op 27 april intern 60C, extern 55C gehaald is. De grafiek loopt keurig (soort van) paraboolvormig, dus don't worry
Er zit nog zat ruimte in dus
Weer een zorg minder
12x SH-230P6 all-black op een Effekta ES3300 live en 22x SM55 op 2 Steca's 500 en 1 Steca 300 live
U vraagt, wij draaien. Omniksol 3k indoor. Valt best mee, voor komende zomer ligt een 4Watt paneeltje klaar met twee fannetjes. Dit moet afdoende zijn. Nu nog ff het paneeltje op het dak plaatsenzonnebaas schreef op maandag 01 april 2013 @ 18:02:
[afbeelding]
Kijk dat is nu een voordeel dat de omvormer buiten hangt (onder carport) blijft ie relatief koel
Ben benieuwd wat een "indoor" omniksol doet

En natuurlijk weer piekjesweer. Ik zie de onderstaande piek niet terug op de grafiek, maar we hebben altijd de foto's nog. Volgens de datasheet is de short circuit current van de sunrupu 5,86 A, de foto laat een piek van 6,7 A zien. Best hoog. (de andere string waaronder 3 x Kingsuns heeft een scc van 5,45 A)
Is zo'n hoge stroompiek overigens piek normaal?

[ Voor 24% gewijzigd door drielp op 01-04-2013 21:43 ]
4285 Wp op ZO, 1200 Wp op schuur en 880 Wp op NW, DWTW en 7 kW houtkachel
Maar weet wel zeker dat hij stevig is.
Vandaag dan maar begonnen met het plaatsen van de dakhaken.
Bedoeling is morgen een paar uurtjes rail leggen, en dan uiteindelijk zaterdag de eerste paneeltjes het dak op.
Uiteindelijk 22x Renesola 250 op SMA4000TL-20.
Is een leuk klusje. Zeker als het zonnetje zo lekker schijnt...

[ Voor 70% gewijzigd door paulv1973 op 01-04-2013 22:46 . Reden: foto ingevoegd ]
6.250Wp - ZW op SMA SB5000TL-21 + 6.510WP ZO, 31grad. + 3.720Wp - NW, 31grad, op SE5000er-01 + Pana Monoblock 6kW
http://tinypic.com/index.php
8,5 kW hout / 5,5 kWp zon / 5,6 kW multisplit L/L WP
Dank je...Speksteenkachel schreef op maandag 01 april 2013 @ 22:13:
Via onderstaande link.
http://tinypic.com/index.php
6.250Wp - ZW op SMA SB5000TL-21 + 6.510WP ZO, 31grad. + 3.720Wp - NW, 31grad, op SE5000er-01 + Pana Monoblock 6kW
De stroom, en kortsluitstroom is onder gecontroleerde condities bij een vooraf afgesproken instraling, daar heeft de zon maling aan.drielp schreef op maandag 01 april 2013 @ 20:51:
[...]
En natuurlijk weer piekjesweer. Ik zie de onderstaande piek niet terug op de grafiek, maar we hebben altijd de foto's nog. Volgens de datasheet is de short circuit current van de sunrupu 5,86 A, de foto laat een piek van 6,7 A zien. Best hoog. (de andere string waaronder 3 x Kingsuns heeft een scc van 5,45 A)
Is zo'n hoge stroompiek overigens piek normaal?
[afbeelding]
Meer instraling == meer stroom uit de panelen. De cijfers van hierboven van 6 Ampere uit 5,5 Ampere nominaal panelen is niet ongebruikelijk.
ik lees al even mee en me oude account weet ik niet meer dus bij deze ben ik hier als nieuw lid
Ik had al een poos interesse in zonnepanelen maar omdat ik met me dak niet helemaal pal op het zuiden zit en ik sochtends last heb van schaduw van me eigen woning en smiddags rond 3 uur de schaduw van de buren krijg heb ik het erbij gelaten.
maar ik kon het toch niet laten en heb een maand geleden zelf een set samen gesteld.
20 x black 250 watt mono
omvormer power one pvi 5000.
de zonnepanelen komen op een plat dak en daar had ik renusol bakken voor gekocht om de panelen op te monteren. alleen heb ik toch besloten om dit maar niet meer te doen.
daarom heb ik gecoat aluminium gekocht en daar zelf steunen van gemaakt. de panelen ga ik plaatsen onder een hoek van 15 graden.
het dak is 7x7 en daarom komen ze vrij kort op elkaar want ik wil 5 rijen van 4 panelen gaan plaatsen.
hierbij wat plaatjes van de steunen.
ik maak aan de achterkant nog een strip zodat de tegels er op kunnen leunen





nu moet ik me alleen nog inlezen over het hoe en wat qua omvormer.
want, ik zat zelf te denken aan de voorste 8 panelen op 1 string en de overige 3x een string met 4 panelen maar weet iemand hoe je erachter kunt komen of dat niet te weinig is voor 1 string?
Veel succes, ziet er veel belovend uit
8,5 kW hout / 5,5 kWp zon / 5,6 kW multisplit L/L WP
What gave it away??Speksteenkachel schreef op maandag 01 april 2013 @ 23:14:
[...]
Veel succes, ziet er veel belovend uit

6.250Wp - ZW op SMA SB5000TL-21 + 6.510WP ZO, 31grad. + 3.720Wp - NW, 31grad, op SE5000er-01 + Pana Monoblock 6kW
Oke, bedankt. Ik vond het nogal hoog, en had deze hoge amperages nog niet gezien.databeestje schreef op maandag 01 april 2013 @ 22:26:
[...]
De stroom, en kortsluitstroom is onder gecontroleerde condities bij een vooraf afgesproken instraling, daar heeft de zon maling aan.
Meer instraling == meer stroom uit de panelen. De cijfers van hierboven van 6 Ampere uit 5,5 Ampere nominaal panelen is niet ongebruikelijk.
4285 Wp op ZO, 1200 Wp op schuur en 880 Wp op NW, DWTW en 7 kW houtkachel
Ik hoop voor je dat die constructie sterk genoeg is , (driehoek uit 3 losse delen gemonteerd)banaanbanaan schreef op maandag 01 april 2013 @ 23:03:
daarom heb ik gecoat aluminium gekocht en daar zelf steunen van gemaakt. de panelen ga ik plaatsen onder een hoek van 15 graden.
het dak is 7x7 en daarom komen ze vrij kort op elkaar want ik wil 5 rijen van 4 panelen gaan plaatsen.
hierbij wat plaatjes van de steunen.
ik maak aan de achterkant nog een strip zodat de tegels er op kunnen leunen
Heb zo mijn twijfels.....
T' is dat je ze laag aan de grond houd met die 15 graden.....
[ Voor 5% gewijzigd door antimos op 02-04-2013 00:30 ]
Formuler Z8 Pro, Z10 Pro Max, Epson TW5650 beamer, Logitech Z-5500 Digital speakers | Oculus Quest 2
Dit had ik niet zo gedaan, zit echt niet stabiel in elkaar.banaanbanaan schreef op maandag 01 april 2013 @ 23:03:
Hallo
ik lees al even mee en me oude account weet ik niet meer dus bij deze ben ik hier als nieuw lid
Ik had al een poos interesse in zonnepanelen maar omdat ik met me dak niet helemaal pal op het zuiden zit en ik sochtends last heb van schaduw van me eigen woning en smiddags rond 3 uur de schaduw van de buren krijg heb ik het erbij gelaten.
maar ik kon het toch niet laten en heb een maand geleden zelf een set samen gesteld.
20 x black 250 watt mono
omvormer power one pvi 5000.
de zonnepanelen komen op een plat dak en daar had ik renusol bakken voor gekocht om de panelen op te monteren. alleen heb ik toch besloten om dit maar niet meer te doen.
daarom heb ik gecoat aluminium gekocht en daar zelf steunen van gemaakt. de panelen ga ik plaatsen onder een hoek van 15 graden.
het dak is 7x7 en daarom komen ze vrij kort op elkaar want ik wil 5 rijen van 4 panelen gaan plaatsen.
hierbij wat plaatjes van de steunen.
ik maak aan de achterkant nog een strip zodat de tegels er op kunnen leunen
[afbeelding]
[afbeelding]
[afbeelding]
[afbeelding]
[afbeelding]
nu moet ik me alleen nog inlezen over het hoe en wat qua omvormer.
want, ik zat zelf te denken aan de voorste 8 panelen op 1 string en de overige 3x een string met 4 panelen maar weet iemand hoe je erachter kunt komen of dat niet te weinig is voor 1 string?

Je had beter pasbussen kunnen gebruiken, of zelfs werken met M10x15 binnenzeskant
plus ringen en flensmoeren en dan enkel de binnenste raak vlakken vast bouten
en even een groter gat boren in de buitenste vlakken om de inbus + sleutel erin te kunnen steken
en met een vlakke ringsleutel krijg je de flensmoer wel op z,n plek, dan pas trek je het muurvast aan

A'dam PVOutput
Hier kan je prachtige betonnen voetjes voor gieten met overmaats vierkant ingebed zodat de alreeds gemaakte frame pootjes erin verzinken, heel gemakkelijk in 1 dag klaar.ericplan schreef op dinsdag 02 april 2013 @ 08:03:
Als je wil dat de zonnepanelen 20 jaar liggen zonder zorgen zou ik je constructie heroverwegen. De pootjes gaan zelfs met bescherming door het dakleer. Er komen teveel krachten op het frame dat daar niet voor bedoeld is.
Het komt een beetje over als een impuls aankoop als je je nu moet inlezen over de omvormer.banaanbanaan schreef op maandag 01 april 2013 @ 23:03:
nu moet ik me alleen nog inlezen over het hoe en wat qua omvormer.
want, ik zat zelf te denken aan de voorste 8 panelen op 1 string en de overige 3x een string met 4 panelen maar weet iemand hoe je erachter kunt komen of dat niet te weinig is voor 1 string?
Ik weet niet wat voor panelen je hebt maar laten we uitgaan van 30 V per paneel dan zou ik 2 gelijke strings van 10 panelen maken totaal 2500W = 300V per string (mppt voltage range omvormer 200-530)
Ik zou de renusol bakken gebruiken als je ze nog hebt vind de steuntjes er wat slap uit zien en ben benieuwd hoe je de ballast bevestigd het zou zonde zijn als er door torsie krachten haarscheurtjes in je panelen ontstaan.
Omnik 4.0 - 1e string- 1755 W - 2e string 2500 W Oost
ik vind het juist muurvast zitten. je krijgt er totaal geen beweging in.
en op de pootjes aan de achterkant komen nog 2 strips over de lengte van het paneel voor de tegels.
onder de pootjes was ik van plan om rubberen tegels te gaan plaatsen want, zoals dit gaat het inderdaad geheid door het dakleer.
ik zal morgen me pa er eens bij halen die heeft ook altijd nog wel een mening haha.
maar om eerlijk te zijn heb ik verder geen rekening gehouden met eventuele haarscheurtjes oid.
de panelen zijn van Topsola de TSM96-125-b
250 watt 96 cells
http://www.kwh-solar.de/n...tter-topsolar?download=34
linkje naar de pdf.
het klopt wel dat de omvormer een impuls was maar ik zag deze al goed geprijsd op internet staan en toen ik contact had gehad bleek dat er meer mogelijk was dus vandaar, dat ik deze omrvormer heb gekocht.
maar via de website van power one kun je je omvormer selecteren en daar je paneel uitzoeken dat krijg je ook wel formules e.d. alleen werkte dat op dat moment niet. maar diegene waar ik het van gekocht heb kon het wel benaderen en gaf aan dat het goed mogelijk was om met meerdere strings op deze omvormer te gaan werken.
hij gaf ook nog aan 4x5 panelen en dan de opstart voltages gaan verlagen in de omvormer zodat die eventueel eerder begint.
maar zoals ik al zei dat is nog even abracadabra voor me
Zijn er mensen die ervaring hebben met 10x Yingli 270 icm een SB 2500HF? Met 10 panelen (300V, typical 280V volgens Sunny Design) zit je altijd wel aan de ondergrens van 2.5kw omvormers 'fijn' vinden lijkt het.
De DC spanning schommelt meestal rond de 300V en deze omvormer werkt hier uitstekend op.
8,5 kW hout / 5,5 kWp zon / 5,6 kW multisplit L/L WP
Van de week voor mij een framewerk uitdenken en de spullen bestellen.
Waarschijnlijk wordt het hout, 2 meter doorloop aan de lage zijde, dakhoek van 35 graden.
Met de mogelijkheid om later nog de zijden dicht te maken, toch weer een schuur bij dan
Voor mijn ouders nog bezig met ballast regelen.
Zodra er weer nieuws is horen jullie het vanzelf!
LG-HM123MR-U34 | LG-G12WL (ARTCOOL Stylist) | Orcon HRC-500 MaxComfort | 4.160 WP Oost-West
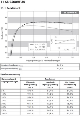
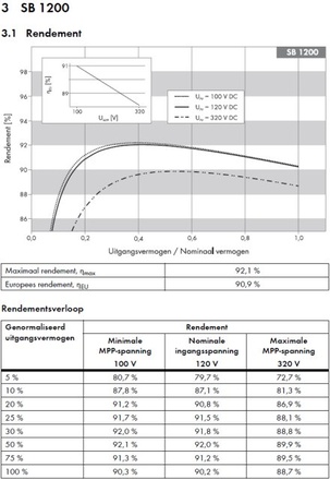
Als je de documentatie van SMA goed bekijkt, kun je zien dat het rendement bij de minimale stringspanning alleen bij hoge vermogens echt lager is dan bij de nominale spanning. Sterker nog, bij vermogens onder de 20% is de omvormer zelfs efficiënter bij een lagere spanning. En let wel, je installatie produceert meer dan de helft van de bedrijfsuren minder dan 20% van z'n vermogen! klikThijs8472 schreef op dinsdag 02 april 2013 @ 09:42:
Mijn plan van 15 x CS CS5A 200 op een SMA 3000TL valt in duigen. SolarNRG heeft deze panelen uit het assortiment genomen en boodt als alternatief 15 x Senersun 190. Dit is echter maar 2850Wp (t.o.v. 3000Wp met de CS5A 200) dus dan opteer ik liever voor 10x Yingli 270 panelen omdat ik dan een omvormer met een enkele MPP tracker kan nemen.
Zijn er mensen die ervaring hebben met 10x Yingli 270 icm een SB 2500HF? Met 10 panelen (300V, typical 280V volgens Sunny Design) zit je altijd wel aan de ondergrens van 2.5kw omvormers 'fijn' vinden lijkt het.

📸Canon EOS 5D IV 🚁DJI Mavic Pro 🏍️Zero SR ⚡Tesla M3 LR 🌡️Daikin US 3.5kW ☀️8815Wp 🔋Marstek Venus-E 5,12 kWh Tweakers PVOutput lijst
Dat viel mij dit weekend ook op toen ik door het boekje van de SB1200 bladerde.antonboonstra schreef op dinsdag 02 april 2013 @ 10:26:
[...]
Als je de documentatie van SMA goed bekijkt, kun je zien dat het rendement bij de minimale stringspanning alleen bij hoge vermogens echt lager is dan bij de nominale spanning. Sterker nog, bij vermogens onder de 20% is de omvormer zelfs efficiënter bij een lagere spanning. En let wel, je installatie produceert meer dan de helft van de bedrijfsuren minder dan 20% van z'n vermogen! klik
[afbeelding]
Zal eens kijken of ik een scan kan maken.
Ik was in ieder geval positief verrast
Vroemt met EV | 10.000WP | 14kWh Thuisaccu | 2x MHI SRK/SRC 35 ZS | LG-WH27s Boiler
Alsturevolution-nl schreef op dinsdag 02 april 2013 @ 10:38:
[...]
Dat viel mij dit weekend ook op toen ik door het boekje van de SB1200 bladerde.
Zal eens kijken of ik een scan kan maken.
Ik was in ieder geval positief verrast

Dit effect lijkt trouwens in alle omvormers met trafo (LF of HF) voor te komen, maar niet bij TL omvormers.
[ Voor 11% gewijzigd door antonboonstra op 02-04-2013 10:43 ]
📸Canon EOS 5D IV 🚁DJI Mavic Pro 🏍️Zero SR ⚡Tesla M3 LR 🌡️Daikin US 3.5kW ☀️8815Wp 🔋Marstek Venus-E 5,12 kWh Tweakers PVOutput lijst
Anton, de HF series heeft een hoge spanning nodig voor een goed rendement, met 300 Volt heb je pas 95% rendement bij meer dan 800 Watt AC vermogen.antonboonstra schreef op dinsdag 02 april 2013 @ 10:26:
[...]
Als je de documentatie van SMA goed bekijkt, kun je zien dat het rendement bij de minimale stringspanning alleen bij hoge vermogens echt lager is dan bij de nominale spanning. Sterker nog, bij vermogens onder de 20% is de omvormer zelfs efficiënter bij een lagere spanning. En let wel, je installatie produceert meer dan de helft van de bedrijfsuren minder dan 20% van z'n vermogen! klik
[afbeelding]

Zo heb je bij 20% Pac slechts een 80-90% efficientie, hier blinkt de HF series echt niet uit. Als je echter 400 Volt of meer hebt begint deze lekker te lopen. Ik zie dit bij mijn HF waar ik sinds een weekje de efficientie naar PVoutput log.
Bij 800W heb je 40% van je Pac. Bij 30% vermogen is het verschil tussen 175V en 530V slechts 0,5% in efficiëntie. Een lagere stringspanning heeft bij een vermogen van 800W dus nauwelijks invloed op de efficiëntie. Pas bij vermogens boven de 50% Pac wordt het verschil groter dan 1%.databeestje schreef op dinsdag 02 april 2013 @ 10:58:
[...]
Anton, de HF series heeft een hoge spanning nodig voor een goed rendement, met 300 Volt heb je pas 95% rendement bij meer dan 800 Watt AC vermogen.
[afbeelding]
Zo heb je bij 20% Pac slechts een 80-90% efficientie, hier blinkt de HF series echt niet uit. Als je echter 400 Volt of meer hebt begint deze lekker te lopen. Ik zie dit bij mijn HF waar ik sinds een weekje de efficientie naar PVoutput log.
Ik zeg ook niet dat een HF omvormer het liefst lage spanning heeft, alleen ik zeg wel dat de invloed van een lagere spanning minder invloed heeft als je in eerste instantie zou denken. Als je dit invoert in Sunny Design, zie je ook geen enorme verschillen qua jaaropbrengst.
📸Canon EOS 5D IV 🚁DJI Mavic Pro 🏍️Zero SR ⚡Tesla M3 LR 🌡️Daikin US 3.5kW ☀️8815Wp 🔋Marstek Venus-E 5,12 kWh Tweakers PVOutput lijst
Vond hier een interessante website. Helaas heb ik zelf geen tuin....
http://www.echorenovate.com/solar-energy.php
Bij een schuur is het standaard 3 meter maximaal.jp73 schreef op dinsdag 02 april 2013 @ 11:08:
Zijn er hier ook mensen die een tracker in hun tuin hebben staan ? Vraag me af of je hier in Neederland gelijk weer vergunning nodig voor hebt ?
Vond hier een interessante website. Helaas heb ik zelf geen tuin....
http://www.echorenovate.com/solar-energy.php
Als je hoger zou willen moet er gekeken worden in het bestemmingsplan van de gemeente.
(ikzelf mag tot 5,5 meter vergunningsvrij bouwen)
De hoogte die je nodig hebt voor een tracker lijkt mij inderdaad te hoog
Ook zit je met het zicht op de tracker, zowel van de buren als eventueel vanaf de straat.
Kan er iig niet zo snel iets over vinden maar Nederland kennende zal er een vergunning voor nodig zijn...
(hoe zit het dan met regelgeving als het als "kunst" gezien wordt?)
LG-HM123MR-U34 | LG-G12WL (ARTCOOL Stylist) | Orcon HRC-500 MaxComfort | 4.160 WP Oost-West
Even ter verduidelijking een paar plaatjes erbij, hieronder de grafiek met alle 14 panelen in 1 string. Zodra de spanning naar 530 Volt gaat rond het middag uur is de efficiency 98%, dat is meer dan de sheet van SMA je zou doen geloven. Het nominale vermogen is met 50% Pac vrijwel hetzelfde als in de ochtend, maar met een veel hogere spanning.antonboonstra schreef op dinsdag 02 april 2013 @ 11:07:
[...]
Bij 800W heb je 40% van je Pac. Bij 30% vermogen is het verschil tussen 175V en 530V slechts 0,5% in efficiëntie. Een lagere stringspanning heeft bij een vermogen van 800W dus nauwelijks invloed op de efficiëntie. Pas bij vermogens boven de 50% Pac wordt het verschil groter dan 1%.
Ik zeg ook niet dat een HF omvormer het liefst lage spanning heeft, alleen ik zeg wel dat de invloed van een lagere spanning minder invloed heeft als je in eerste instantie zou denken. Als je dit invoert in Sunny Design, zie je ook geen enorme verschillen qua jaaropbrengst.

Een ander voorbeeld van een muisgrijze dag, hier hobbelt de efficiency van hier naar ginter.

bij kunst heb je 3 mogenlijkheden.Casper de Boer schreef op dinsdag 02 april 2013 @ 11:18:
[...]
Bij een schuur is het standaard 3 meter maximaal.
Als je hoger zou willen moet er gekeken worden in het bestemmingsplan van de gemeente.
(ikzelf mag tot 5,5 meter vergunningsvrij bouwen)
De hoogte die je nodig hebt voor een tracker lijkt mij inderdaad te hoog
Ook zit je met het zicht op de tracker, zowel van de buren als eventueel vanaf de straat.
Kan er iig niet zo snel iets over vinden maar Nederland kennende zal er een vergunning voor nodig zijn...
(hoe zit het dan met regelgeving als het als "kunst" gezien wordt?)
1. particulier. gewoon de normale regels volgen.
2. gemeente. geen enkele regel meer, en kom maar met hele goede argumenten om er iets aan te doen.
3. bedrijf. afhankelijk van de lobby club en het stem gedrag van de mensen word dat verdeelt over punt 1 en 2.
zo moest de windmolen die bij een boer stond verwijderd worden wegens allerlei bla bla.
en een paar jaar later gooit de fuji op nog geen km afstand 5 "mega" molens neer.
7x245Wp(15 graden) + 7x245Wp(45 graden) op oost en 10x300Wp(45 graden) op west. (4kW omvormer)
Mijn efficiency en invertertemperaturen bv. blijven bij mij helemaal onder in de grafiek hangen, zodat je er met je muis op moet staan om te zien wat de waarde is? Is de schaal per grafiek ergens instelbaar oid?
Heb al op diverse plekken gezocht maar kan het niet vinden

Dit topic is gesloten.