De voorverwarm functie, ontdooid de ramen sowieso slecht.-tom-562 schreef op vrijdag 7 maart 2025 @ 12:05:
Scheelt wel dat die achterruit en spiegelverwarming vrij snel werkt, maar idd raar dat die niet aangestuurd worden
De ventilatie staat helemaal niet op de voorruit gericht tijdens het voorverwarmen.
Hij blaast hard recht het interieur in.
Vaak is 10 minuten niet eens voldoende om de voorruit te ontdooien.
Eigenlijk altijd heb ik een tweede keer inschakelen nodig om ijsvrij te zijn op alle ramen.
Samsung A3050/AR7000 - Elga 3.0 - ME WSH-LN25I Diamond
De paar keer dat het mij lukte de voorverwarm functie te gebruiken werkte dit uitstekend. Ik heb dit alleen gedaan toen de auto echt goed dicht gevroren was. Nu staat bij mij de ventilatie altijd op de voorruit gericht wellicht maakt dit nog een verschil.Oxellaar schreef op zondag 9 maart 2025 @ 01:43:
[...]
De voorverwarm functie, ontdooid de ramen sowieso slecht.
De ventilatie staat helemaal niet op de voorruit gericht tijdens het voorverwarmen.
Hij blaast hard recht het interieur in.
Vaak is 10 minuten niet eens voldoende om de voorruit te ontdooien.
Eigenlijk altijd heb ik een tweede keer inschakelen nodig om ijsvrij te zijn op alle ramen.
Overigens werkt de functie bij mij niet als na het laden de stekker er nog in zit.

MTVenus E V1 154.BMS.215 esp32RS485 · ShellyEmulatie · 18ZP 6*APS 5.9WP · EaseeHome · MG4lux2023 · ThemaV 7kW esp32RS485
Bij mij staat de ventilatie ook altijd op de ruit gericht.
Maar bij ontdooien/voorverwarmen gaat hij automatisch de auto in blazen, niet op de voorruit.
En ja.. Die achterruit verwarming had natuurlijk ook aan moeten gaan.
Hier start hij juist direct met laden als ik de voorverwarming aanzet. Ook als de accu al op 100% zit begint hij met 11kW te laden
Samsung A3050/AR7000 - Elga 3.0 - ME WSH-LN25I Diamond
Na de laatste updates merkte ik wel dat de ventilator veel harder draaide. Maar alles was keurig ontdooit, ook achter.
Inderdaad wel jammer dat je de spiegels niet kan ontdooien via de app. Mini trekkertje na wat ontdooivloeistof sprayen en het is klaar. Valt mee te leven.
Ik heb de temperatuur in de app ingesteld op MAX in plaats van bijvoorbeeld 24°C. In het begin gebruikte ik wel 24°C, maar ik merkte dat MAX veel beter werkte. Misschien het proberen waard?
Was jij ook niet degene met de auto waarbij de de airco & verwarming niet lekker werkt? Er is echt iets niet lekker met jouw exemplaar. De afgelopen 2 weken als ik naar buiten kwam was met het gebruik van de ontdooi functie de auto eigenlijk lekker warm en afgezien van het bovenste randje de hele voorruit ontdooid.Oxellaar schreef op zondag 9 maart 2025 @ 01:43:
[...]
De voorverwarm functie, ontdooid de ramen sowieso slecht.
De ventilatie staat helemaal niet op de voorruit gericht tijdens het voorverwarmen.
Hij blaast hard recht het interieur in.
Vaak is 10 minuten niet eens voldoende om de voorruit te ontdooien.
Eigenlijk altijd heb ik een tweede keer inschakelen nodig om ijsvrij te zijn op alle ramen.
Ik denk wel dat wat je zegt klopt dat hij inderdaad gewoon het hele interieur verwarmt. Meestal laat ik voor ik uitstap in deze periode de voorruit ontwasemfunctie ook aanstaan. Geen idee of het helpt. Het systeem haalt het niet bij de voorruitverwarming van mijn de Ford die ik ooit had. Maar dat had weer andere nadelen.
www.file-hunter.com | www.arnauddeklerk.com | Mijn zonnepaneeltjes LIVE: http://pvoutput.org/list.jsp?sid=40939
https://imgur.com/a/y0KZ3MOVaevictis_ schreef op zondag 9 maart 2025 @ 13:51:
Weet iemand hoe je de lijsten van de ramen aan de buitenkant kunt verwijderen? Ik heb vorig jaar ijs moeten verwijderen met zo'n plastic krabber en nu allemaal krassen op de lijsten. Wil ze opnieuw gaan spuiten. Had al een stukje gedaan met schilderstape maar dat kwam toch op de autolak terecht.
https://imgur.com/a/gaiIy0R
[ Voor 3% gewijzigd door Ives op 09-03-2025 15:15 ]
Mijn verwarming doet wat hij moet doen.TFHfony schreef op zondag 9 maart 2025 @ 12:19:
[...]
Was jij ook niet degene met de auto waarbij de de airco & verwarming niet lekker werkt? Er is echt iets niet lekker met jouw exemplaar. De afgelopen 2 weken als ik naar buiten kwam was met het gebruik van de ontdooi functie de auto eigenlijk lekker warm en afgezien van het bovenste randje de hele voorruit ontdooid.
Ik denk wel dat wat je zegt klopt dat hij inderdaad gewoon het hele interieur verwarmt. Meestal laat ik voor ik uitstap in deze periode de voorruit ontwasemfunctie ook aanstaan. Geen idee of het helpt. Het systeem haalt het niet bij de voorruitverwarming van mijn de Ford die ik ooit had. Maar dat had weer andere nadelen.
Het is echt goed warm in de auto bij voorverwarmen, alleen blaast hij niet op de ramen.
Verder heb ik geen specifiek probleem voor mijn MG, maar een algemeen probleem wat nagenoeg alle EV hebben: Geen airco tijdens verwarmen.
Ik heb van Mossel hier over gesproken en andere garages die EV doen. Die zeggen allemaal hetzelfde, alle merken en modellen hebben hier last van. Even een proefritje in de winter, voordat je gaat sleutelen aan een auto en je weet de ramen niet droog te houden.
Opel, Ford en BMW heb ik allemaal dezelfde klachten van gehoord bij EV's
Samsung A3050/AR7000 - Elga 3.0 - ME WSH-LN25I Diamond
Nog bedankt voor deze tip! Via de Ionity app kun je de route plannen, en heb zo exclusief bij Ionity kunnen laden tegen lage kosten. Alleen moest ik om onduidelijke redenen vaak twee keer aankoppelen voordat er werd begonnen met laden.Ron6 schreef op donderdag 27 februari 2025 @ 14:47:
[...]
Je zou ook kunnen overwegen een Ionity passport aan te schaffen (11,95 per maand. Per maand opzegbaar). Je betaalt dan €0,39 per kWh, ook in Oostenrijk.
Bij mijn MG4 kan ik wel de airco op afstand inschakelen. Hiervoor een Q4 gehad, die kon het ook en daarvoor een Tesla die ook de airco op afstand liet inschakelen (al viel daar de airco regelmatig uit, waardoor je soms op de snelweg 0 zicht had)Oxellaar schreef op maandag 10 maart 2025 @ 12:06:
[...]
Mijn verwarming doet wat hij moet doen.
Het is echt goed warm in de auto bij voorverwarmen, alleen blaast hij niet op de ramen.
Verder heb ik geen specifiek probleem voor mijn MG, maar een algemeen probleem wat nagenoeg alle EV hebben: Geen airco tijdens verwarmen.
Ik heb van Mossel hier over gesproken en andere garages die EV doen. Die zeggen allemaal hetzelfde, alle merken en modellen hebben hier last van. Even een proefritje in de winter, voordat je gaat sleutelen aan een auto en je weet de ramen niet droog te houden.
Opel, Ford en BMW heb ik allemaal dezelfde klachten van gehoord bij EV's

Heb je iets aan mijn antwoord ? Een thumbs-up wordt zeker op prijs gesteld.
Nu zoek ik iets om de lichtsensor bij de voorruit 24/7 te bedekken zodat de lampen altijd aan gaan. Heeft iemand hier iets voor? Of een ontwerp om te 3D printen?
Stukje zwarte tape of raamfolie netjes op maat geknipt?hdp_ schreef op dinsdag 11 maart 2025 @ 09:07:
Vanochtend was het een beetje mistig en regenachtig en toen kwam ik erachter dat mijn lampen niet vanzelf aangingen. Dit merk ik de laatste tijd wel vaker: op momenten dat ik de lampen aan wil i.v.m. mist/regen/oid, staan ze niet aan. Handmatig aanzetten kan natuurlijk, maar bij het uitstappen gaat er geen alarm piepen als ik m'n lampen laat aanstaan waardoor ik al een aantal keer m'n lampen de hele dag heb aan laten staan ...
Nu zoek ik iets om de lichtsensor bij de voorruit 24/7 te bedekken zodat de lampen altijd aan gaan. Heeft iemand hier iets voor? Of een ontwerp om te 3D printen?
Volgens mij werkt je automatisch grootlicht dan niet meer lekkerhdp_ schreef op dinsdag 11 maart 2025 @ 09:07:
Vanochtend was het een beetje mistig en regenachtig en toen kwam ik erachter dat mijn lampen niet vanzelf aangingen. Dit merk ik de laatste tijd wel vaker: op momenten dat ik de lampen aan wil i.v.m. mist/regen/oid, staan ze niet aan. Handmatig aanzetten kan natuurlijk, maar bij het uitstappen gaat er geen alarm piepen als ik m'n lampen laat aanstaan waardoor ik al een aantal keer m'n lampen de hele dag heb aan laten staan ...
Nu zoek ik iets om de lichtsensor bij de voorruit 24/7 te bedekken zodat de lampen altijd aan gaan. Heeft iemand hier iets voor? Of een ontwerp om te 3D printen?
Vaak bu'j te bang!
Het werkt nog wel, maar iets minder dat klopt, ik heb de sensor ook geheel bedekt om 'altijd donker' te simuleren!-tom-562 schreef op dinsdag 11 maart 2025 @ 11:24:
[...]
Volgens mij werkt je automatisch grootlicht dan niet meer lekker
Hoe detecteert de auto dan tegenliggers met verlichting? Of gaat dat via de camera?Paul van Druten schreef op dinsdag 11 maart 2025 @ 14:40:
[...]
Het werkt nog wel, maar iets minder dat klopt, ik heb de sensor ook geheel bedekt om 'altijd donker' te simuleren!
[ Voor 7% gewijzigd door -tom-562 op 11-03-2025 15:18 ]
Vaak bu'j te bang!
Ik denk dat je me niet helemaal begrepen hebt.Luppie schreef op maandag 10 maart 2025 @ 21:35:
[...]
Bij mijn MG4 kan ik wel de airco op afstand inschakelen. Hiervoor een Q4 gehad, die kon het ook en daarvoor een Tesla die ook de airco op afstand liet inschakelen (al viel daar de airco regelmatig uit, waardoor je soms op de snelweg 0 zicht had)
[Afbeelding]
Alles werkt prima, ook het op afstand inschakelen van verwarmen of koelen.
Alleen werkt de koelfunctie niet als je de warmtepomp laat verwarmen. Hij kan maar één ding tegelijk.
Dus is de lucht minder droog in de auto, dan wanneer je kunt koelen en verwarmen gelijktijdig.
Wat in alle auto's zonder warmtepomp wel kan
Samsung A3050/AR7000 - Elga 3.0 - ME WSH-LN25I Diamond
Koelen en verwarmen tegelijkertijd is redelijk onzinnig. Ik neem aan dat je verwarmen en ontvochtigen via dia airco bedoelt.Oxellaar schreef op dinsdag 11 maart 2025 @ 15:20:
[...]
Ik denk dat je me niet helemaal begrepen hebt.
Alles werkt prima, ook het op afstand inschakelen van verwarmen of koelen.
Alleen werkt de koelfunctie niet als je de warmtepomp laat verwarmen. Hij kan maar één ding tegelijk.![]()
Dus is de lucht minder droog in de auto, dan wanneer je kunt koelen en verwarmen gelijktijdig.
Wat in alle auto's zonder warmtepomp wel kan
www.file-hunter.com | www.arnauddeklerk.com | Mijn zonnepaneeltjes LIVE: http://pvoutput.org/list.jsp?sid=40939
Dat is dus een misvatting want dagrijlicht en dimlichten gaan wel aan maar dimlicht gaat echt aan als het donker is en zeker bij dichte mist moet je gewoon dimlicht en mistlichten handmatig aanzetten. Dus ook met harde regen gewoon handmatig aan.hdp_ schreef op dinsdag 11 maart 2025 @ 09:07:
Vanochtend was het een beetje mistig en regenachtig en toen kwam ik erachter dat mijn lampen niet vanzelf aangingen. Dit merk ik de laatste tijd wel vaker: op momenten dat ik de lampen aan wil i.v.m. mist/regen/oid, staan ze niet aan. Handmatig aanzetten kan natuurlijk, maar bij het uitstappen gaat er geen alarm piepen als ik m'n lampen laat aanstaan waardoor ik al een aantal keer m'n lampen de hele dag heb aan laten staan ...
Nu zoek ik iets om de lichtsensor bij de voorruit 24/7 te bedekken zodat de lampen altijd aan gaan. Heeft iemand hier iets voor? Of een ontwerp om te 3D printen?
Dat gebeurt mij ook heel vaak, en met name bij de oudere laadpalen. Fijn dat het verder goed heeft uitgepakt.Rollo Tomasi schreef op maandag 10 maart 2025 @ 14:58:
[...]
Nog bedankt voor deze tip! Via de Ionity app kun je de route plannen, en heb zo exclusief bij Ionity kunnen laden tegen lage kosten. Alleen moest ik om onduidelijke redenen vaak twee keer aankoppelen voordat er werd begonnen met laden.
Dat heb ik sowieso al uitgezet. Vond het automatische grootlicht te triggerhappy. Ik zet mijn grootlicht zelf wel aan wanneer het nodig is. Maar ik rijd ook bijna nooit op onverlichte wegen in het donker.-tom-562 schreef op dinsdag 11 maart 2025 @ 11:24:
[...]
Volgens mij werkt je automatisch grootlicht dan niet meer lekker
Waar zit de lichtsensor?Paul van Druten schreef op dinsdag 11 maart 2025 @ 14:40:
[...]
Het werkt nog wel, maar iets minder dat klopt, ik heb de sensor ook geheel bedekt om 'altijd donker' te simuleren!
Ja dat bedoel ik...TFHfony schreef op dinsdag 11 maart 2025 @ 15:25:
[...]
Koelen en verwarmen tegelijkertijd is redelijk onzinnig. Ik neem aan dat je verwarmen en ontvochtigen via dia airco bedoelt.
Je hebt het waarschijnlijk al jaren gebruikt in een auto met verbrandingsmotor, maar nooit beseft
Natuurlijk is het niet onzinnig, het is één van de belangrijkste dingen van een klimaatsysteem in een auto.
Dat je kan ontvochtigen
Samsung A3050/AR7000 - Elga 3.0 - ME WSH-LN25I Diamond
voornamelijk camera dus...-tom-562 schreef op dinsdag 11 maart 2025 @ 15:18:
[...]
Hoe detecteert de auto dan tegenliggers met verlichting? Of gaat dat via de camera?
Klopt.Oxellaar schreef op woensdag 12 maart 2025 @ 08:41:
[...]
Ja dat bedoel ik...
Je hebt het waarschijnlijk al jaren gebruikt in een auto met verbrandingsmotor, maar nooit beseft
Natuurlijk is het niet onzinnig, het is één van de belangrijkste dingen van een klimaatsysteem in een auto.
Dat je kan ontvochtigen
Gelukkig werkt het ontvochtigen en verwarmen in mijn MG4 met warmtepomp prima. Ook tegelijkertijd.
www.file-hunter.com | www.arnauddeklerk.com | Mijn zonnepaneeltjes LIVE: http://pvoutput.org/list.jsp?sid=40939
Het kan dat jij weinig of geen last hebt van beslagen ramen
Maar het is absoluut onmogelijk dat de klima koelt en verwarmd tegelijkertijd.
Technisch onmogelijk met het systeem in de MG
Er is maar één condensor en één verdamper, ze kunnen van functie wisselen als je omschakelt van verwarmen naar koelen, maar dat is alles
Samsung A3050/AR7000 - Elga 3.0 - ME WSH-LN25I Diamond
Koelen en verwarmen is wat anders dan ontvochtigen en verwarmen.Oxellaar schreef op woensdag 12 maart 2025 @ 22:39:
@TFHfony
Het kan dat jij weinig of geen last hebt van beslagen ramen
Maar het is absoluut onmogelijk dat de klima koelt en verwarmd tegelijkertijd.
Technisch onmogelijk met het systeem in de MG
Er is maar één condensor en één verdamper, ze kunnen van functie wisselen als je omschakelt van verwarmen naar koelen, maar dat is alles
Er zijn diverse oplossingen om met warmtepomp aangestuurde aircos te verwarmen en gelijktijdig te ontvochtigen. Minder efficiënt dan bij koelen, maar het kan prima.
Als je mij niet gelooft, vraag het dan maar aan Google of je favoriete AI.
www.file-hunter.com | www.arnauddeklerk.com | Mijn zonnepaneeltjes LIVE: http://pvoutput.org/list.jsp?sid=40939
Om te ontvochtigen moet je een koud oppervlak hebben, gekoeld tot onder het dauwpunt, dus zul je moeten koelenTFHfony schreef op woensdag 12 maart 2025 @ 23:01:
[...]
Koelen en verwarmen is wat anders dan ontvochtigen en verwarmen.
Er zijn diverse oplossingen om met warmtepomp aangestuurde aircos te verwarmen en gelijktijdig te ontvochtigen. Minder efficiënt dan bij koelen, maar het kan prima.
Als je mij niet gelooft, vraag het dan maar aan Google of je favoriete AI.
Simpele natuurkunde. En dan kan dit systeem niet gelijktijdig verwarmen.
En misschien nuttig om te vermelden, ik zit in de koeltechniek en klimaattechniek, dus misschien weet ik waar ik het over heb.
Samsung A3050/AR7000 - Elga 3.0 - ME WSH-LN25I Diamond
De garage heeft de trilling en brommen van de auto achterhaalt.
Er was een velg ovaal.. hoera dus.. echter helaas.
De schade expert die erop zit constateert nog trilling in het stuur dus nog wat geduld..
Ah na 6 maanden went het, ja hij staat nog steeds en dus al 6 maanden bij de dealer.
Het is dat ik een lease rijder ben.
maar heeft u dus last van trillingen, laat je velgen nakijken.
Helaas ook nog steeds geen Nederlandse stem bediening ondanks de software updates.
ehhh.. noppes
Daarom dus bellen, afspreken wat er gedaan moet worden. Is er meer werk, eerste laten bellen voor wat het kost.Vaevictis_ schreef op donderdag 6 maart 2025 @ 12:31:
Een ding is wel zeker als je online incheckt moet je akkoord geven op de werkzaamheden (en de kosten). Dus dan is het wel heel lastig om achteraf bezwaar te maken. Iets met gelijk hebben en gelijk halen.
Zo had de BMW dealer eens een uitlaat vervangen, die was dus gratis, of ze moesten hem er weer afhalen. 😆
ehhh.. noppes
energienerds.nl | full electric | 11,5kWp | 24 kWh LFP | EV |
dan moet je terug gaan .. deed ik ook, alleen na 4 keer was ik het zat, dus nu zit de lease maatschappij er achter aan..Vaevictis_ schreef op zaterdag 15 maart 2025 @ 17:01:
Ik heb eens gekeken maar ze hebben het pollenfilter niet vervangen, is dus wel inbegrepen in de beurt voor dat geld vind ik het wel schandalig. Kreeg de auto ook ongewassen mee terug.
mijne gaat naar breda...
En ik moet zeggen, mijn vervangende auto, een Kia ceed, man wat een heerlijke auto.
Jammer dat die weg gaat over .... geen idee..😅
ehhh.. noppes
Terug gaan is 30min rijden enkele reis, ik stuur wel een klacht per mail met foto erbij.Thc_Nbl schreef op zaterdag 15 maart 2025 @ 17:04:
[...]
dan moet je terug gaan .. deed ik ook, alleen na 4 keer was ik het zat, dus nu zit de lease maatschappij er achter aan..
mijne gaat naar breda...
En ik moet zeggen, mijn vervangende auto, een Kia ceed, man wat een heerlijke auto.
Jammer dat die weg gaat over .... geen idee..😅
:strip_exif()/f/image/idqFmgZFntoQrI0yME4XMTKP.jpg?f=fotoalbum_large)
Ik heb de beschadigde raamlijst opnieuw geschuurd en mat gespoten. Vind het veel mooier dan hoogglans. Morgen de andere 3 stuks. Meteen groene alg eraf gehaald.
[ Voor 3% gewijzigd door Vaevictis_ op 15-03-2025 18:36 ]
Beter zo ja.Vaevictis_ schreef op zaterdag 15 maart 2025 @ 18:35:
[Afbeelding]
Ik heb de beschadigde raamlijst opnieuw geschuurd en mat gespoten. Vind het veel mooier dan hoogglans. Morgen de andere 3 stuks. Meteen groene alg eraf gehaald.
Ik heb ook al last van groene alg. Daar had ik bij mijn vorige auto (Volvo S80 uit 2006) echt helemaal geen last van, en die auto was al 17 jaar oud
Vaak bu'j te bang!
Dat de auto niet gewassen is, noem je dat een minpunt?Vaevictis_ schreef op zaterdag 15 maart 2025 @ 17:01:
Ik heb eens gekeken maar ze hebben het pollenfilter niet vervangen, is dus wel inbegrepen in de beurt voor dat geld vind ik het wel schandalig. Kreeg de auto ook ongewassen mee terug.
Dat vind ik zwaar overdreven. Een auto wassen hoort niet bij een beurt.
Sterker nog, als het mijn eigen auto zou zijn, zou ik er helemaal niet blij van worden.
Een privé auto wil ik en velen met mij, niet in de wasstraat hebben.
De mijne is lease, dus geef ik er minder om.
@-tom-562 VW kweekt na een week regen bijna gras in de sponningen
[ Voor 5% gewijzigd door Oxellaar op 16-03-2025 09:47 ]
Samsung A3050/AR7000 - Elga 3.0 - ME WSH-LN25I Diamond
Ik vond het altijd een fijne auto, maar nu met de software update zijn eigenlijk alle pijnpunten aangepakt.
- LKA was een bitch, maar is super lief geworden! En het uitschakelen ervan kan nu eenvoudig in het scroll-down menu!
- Temperatuur offset klopt nu en het lijkt erop dat de temperatuur ook veel stabieler is tijdens een langere rit.
- Het infotainment scherm reageer veel(!) beter. Wereld van verschil, helemaal blij toen ik het schuifje voor 'max lading' in een moeiteloze beweging op de gewenste waarde kreeg.
- Cruise control lijkt een stuk rustiger en beter bruikbaar.
er is maar een ding waar ik minder over te spreken ben, en dat is het nieuwe klimaatbeheersing scherm. wat een lelijk gedrocht, kleuren en stijl helemaal niet overeenkomstig met de rest van het systeem. vond het vorige scherm veel rustiger. en met dit lelijk scherm start de auto ook nog eens op. achja. als dat alles is.
Ik ben weer verliefd op mn MG4
Dat is goed om te horen! Hoe oud is jouw MG? en bij welke VM vestiging waren ze zo vriendelijk alles te updaten? en hoe lang duurde de update? Ik moet nl binnenkort ook voor een 2de jaars controle en zou graag eenzelfde ervaring willen belven1234567y schreef op zondag 16 maart 2025 @ 09:43:
Yes! Mijn Mg4 (2023) Luxery is ook helemaal bijgewerkt! Wat een verschil!
Ik vond het altijd een fijne auto, maar nu met de software update zijn eigenlijk alle pijnpunten aangepakt.
- LKA was een bitch, maar is super lief geworden! En het uitschakelen ervan kan nu eenvoudig in het scroll-down menu!
- Temperatuur offset klopt nu en het lijkt erop dat de temperatuur ook veel stabieler is tijdens een langere rit.
- Het infotainment scherm reageer veel(!) beter. Wereld van verschil, helemaal blij toen ik het schuifje voor 'max lading' in een moeiteloze beweging op de gewenste waarde kreeg.
- Cruise control lijkt een stuk rustiger en beter bruikbaar.
er is maar een ding waar ik minder over te spreken ben, en dat is het nieuwe klimaatbeheersing scherm. wat een lelijk gedrocht, kleuren en stijl helemaal niet overeenkomstig met de rest van het systeem. vond het vorige scherm veel rustiger. en met dit lelijk scherm start de auto ook nog eens op. achja. als dat alles is.
Ik ben weer verliefd op mn MG4
MTVenus E V1 154.BMS.215 esp32RS485 · ShellyEmulatie · 18ZP 6*APS 5.9WP · EaseeHome · MG4lux2023 · ThemaV 7kW esp32RS485
Klinkt goed.wrak schreef op zondag 16 maart 2025 @ 09:47:
[...]
Dat is goed om te horen! Hoe oud is jouw MG? en bij welke VM vestiging waren ze zo vriendelijk alles te updaten? en hoe lang duurde de update? Ik moet nl binnenkort ook voor een 2de jaars controle en zou graag eenzelfde ervaring willen belven
Welke software versie(s) draai je nu?
:strip_exif()/f/image/Av5pr67XdpPQHWlFi9u8X1qP.png?f=user_large)
Dit is het meest uitgebreidde lijstje wat ik heb kunnen maken vorig jaar. De ACC is toen geupdated. SW P/N is toen veranderd. Nog steeds entertainment versie is R24(!) een luxury op 16-5-23 in de vaart genomen.
[ Voor 5% gewijzigd door wrak op 16-03-2025 10:01 ]
MTVenus E V1 154.BMS.215 esp32RS485 · ShellyEmulatie · 18ZP 6*APS 5.9WP · EaseeHome · MG4lux2023 · ThemaV 7kW esp32RS485
Voor die 329 euro mag dat er wel bij zitten. Ik heb een KIA BEV en zelfs bij een beurt van 75 euro (kleine beurt) wordt de auto gewassen en gezogen teruggegeven. Soms staat ie ook aan de lader bij ophalen. Zijn kleine dingen maar ik vind het wel beneden de maat en zeker voor dat geld.Oxellaar schreef op zondag 16 maart 2025 @ 08:45:
[...]
Dat de auto niet gewassen is, noem je dat een minpunt?
Dat vind ik zwaar overdreven. Een auto wassen hoort niet bij een beurt.
Sterker nog, als het mijn eigen auto zou zijn, zou ik er helemaal niet blij van worden.
Een privé auto wil ik en velen met mij, niet in de wasstraat hebben.
De mijne is lease, dus geef ik er minder om.
@-tom-562 VW kweekt na een week regen bijna gras in de sponningen
Bij de auto van mijn vrouw gaat ie dan claxonneren en knipperen omdat de auto niet is uutgeschakeld. Dat moet je altijd via het menu doen.
De dealer (Rotterdam) is waardeloos.
Dat is als je op het knopje openen ipv dicht drukt heb ik ook wel eens gehad.LaTiNo156 schreef op zondag 16 maart 2025 @ 10:48:
Is er inmiddels iemand anders bij wie de auto niet uitschakelt als je eruit stapt en op het knopje drukt?
Bij de auto van mijn vrouw gaat ie dan claxonneren en knipperen omdat de auto niet is uutgeschakeld. Dat moet je altijd via het menu doen.
De dealer (Rotterdam) is waardeloos.
Dat doet ie bij die van haar dus ook bij de sluitknop 😬Vaevictis_ schreef op zondag 16 maart 2025 @ 11:00:
[...]
Dat is als je op het knopje openen ipv dicht drukt heb ik ook wel eens gehad.
Wat zien jullie op het schermpje als jullie uit de auto stappen? Staat alles dan nog aan of zien jullie iets veranderen?
Ik zet hem in de P stap uit en druk op het enige knopje buiten op de deurhandel. De auto sluit af en het scherm gaat uit. De knopjes op de sleutel gebruik ik zelden want die zit in mijn broekzak.LaTiNo156 schreef op zondag 16 maart 2025 @ 11:22:
[...]
Dat doet ie bij die van haar dus ook bij de sluitknop 😬
Wat zien jullie op het schermpje als jullie uit de auto stappen? Staat alles dan nog aan of zien jullie iets veranderen?
MTVenus E V1 154.BMS.215 esp32RS485 · ShellyEmulatie · 18ZP 6*APS 5.9WP · EaseeHome · MG4lux2023 · ThemaV 7kW esp32RS485
@Ives De achterdeuren hebben geen schroef op die plek, heb je daar ook de instructie van hoe ik deze glaslijsten kan verwijderen? Misschien alleen een clipjes aan de onderzijde durfde dat niet zomaar aan.
Overigens is het onder de glaslijsten wel heel erg vies.
MG4 uit Juli 2023.wrak schreef op zondag 16 maart 2025 @ 09:47:
[...]
Dat is goed om te horen! Hoe oud is jouw MG? en bij welke VM vestiging waren ze zo vriendelijk alles te updaten? en hoe lang duurde de update? Ik moet nl binnenkort ook voor een 2de jaars controle en zou graag eenzelfde ervaring willen belven
VM Breda
Ik had wel een sirieus software probleem waarvoor ik hem langs bracht. Ze zijn twee dagen bezig geweest. Ik hoop inderdaad dat ze deze updates bij iedereen gaan uitvoeren.
Ab verkeerd geprogrammeerd? Kun je geen nieuwe vragen?LaTiNo156 schreef op zondag 16 maart 2025 @ 11:22:
[...]
Dat doet ie bij die van haar dus ook bij de sluitknop 😬
Wat zien jullie op het schermpje als jullie uit de auto stappen? Staat alles dan nog aan of zien jullie iets veranderen?
Het gebeurt ook als je op de knop op de deurgreep drukt, maar dat zou het wel eens kunnen zijn, dat er 2x een Open commando is ingeprogrammeerd!Vaevictis_ schreef op zondag 16 maart 2025 @ 14:53:
[...]
Ab verkeerd geprogrammeerd? Kun je geen nieuwe vragen?
Nouja de deuren gaan wel op slot neem ik aan? Dan is het wellicht toch niet zo simpel, maar het hoort in ieder geval niet zo te zijn,LaTiNo156 schreef op zondag 16 maart 2025 @ 14:59:
[...]
Het gebeurt ook als je op de knop op de deurgreep drukt, maar dat zou het wel eens kunnen zijn, dat er 2x een Open commando is ingeprogrammeerd!
@Vaevictis_ https://imgur.com/a/0BZqXsYVaevictis_ schreef op zondag 16 maart 2025 @ 12:52:
[...]
@Ives De achterdeuren hebben geen schroef op die plek, heb je daar ook de instructie van hoe ik deze glaslijsten kan verwijderen? Misschien alleen een clipjes aan de onderzijde durfde dat niet zomaar aan.
Overigens is het onder de glaslijsten wel heel erg vies.
Waarschijnlijk ten overvloede: ligt er een reservesleutel in de auto? Staat je dimlicht misschien op stand aan?LaTiNo156 schreef op zondag 16 maart 2025 @ 14:59:
[...]
Het gebeurt ook als je op de knop op de deurgreep drukt, maar dat zou het wel eens kunnen zijn, dat er 2x een Open commando is ingeprogrammeerd!
Niet via de sleutel/deurgreep, je moet echt eerst de auto via het menu in het scherm uitschakelen.Racemol schreef op zondag 16 maart 2025 @ 17:31:
[...]
Nouja de deuren gaan wel op slot neem ik aan? Dan is het wellicht toch niet zo simpel, maar het hoort in ieder geval niet zo te zijn,
Zeker, het zijn de kleine dingen die het doen.Vaevictis_ schreef op zondag 16 maart 2025 @ 10:38:
[...]
Voor die 329 euro mag dat er wel bij zitten. Ik heb een KIA BEV en zelfs bij een beurt van 75 euro (kleine beurt) wordt de auto gewassen en gezogen teruggegeven. Soms staat ie ook aan de lader bij ophalen. Zijn kleine dingen maar ik vind het wel beneden de maat en zeker voor dat geld.
Maar je moet eerlijk zijn, op een beurt van €75, met stofzuigen en wassen, dat kan niet voor dat geld.
Ik zet dan eerder mijn vraagtekens bij die "beurt" voor dat geld inclusief wassen en stofzuigen. Er is dan verder niet veel gedaan aan de auto. Een uurloon is al meer dan €75
Samsung A3050/AR7000 - Elga 3.0 - ME WSH-LN25I Diamond
Wat ik niet helemaal begrijp is dat het uitschakelen via het menu de auto alleen "uit" zet en niet de deuren op slot doet. Wil je zeggen dat nadat je dat gedaan hebt de auto wel via de deurgreep of sleutel op slot gaat?LaTiNo156 schreef op maandag 17 maart 2025 @ 19:53:
[...]
Niet via de sleutel/deurgreep, je moet echt eerst de auto via het menu in het scherm uitschakelen.
Dan is het m.i. niet mogelijk dat de sleutel verkeerd geprogrammeerd is maar dan is er gewoon een probleem met uitschakelen van de auto alvorens die op slot gaat. Dat hoort namelijk samen te gebeuren via die knop op je sleutel of deur en dat lijkt dus niet te werken.
Enfin, ik kan het niet voor je oplossen maar een duidelijk omschrijving naar MG of de garage zou wellicht kunnen helpen.
Met de Tesla app kan ik de laadsnelheid tussen 5A en 16A zelf instellen. Staat vaak overdag laag te laden om zoveel mogelijk zonnepaneeloverschotin de accu te frommelen.
Kan dat ook met de MG4?
Yep, je kan het laadvermogen beperken in de mg. Het lukt mij via de homeassistant. Minimum is 6Amp. 1.3 kW bij 1fase 4.2 kW bij 3fases minimum.Dorpjes schreef op dinsdag 18 maart 2025 @ 15:29:
Vraag: ik rij nu kort een Tesla zakelijk en kijk voor prive naar een MG4. Tesla gaat eruit
Met de Tesla app kan ik de laadsnelheid tussen 5A en 16A zelf instellen. Staat vaak overdag laag te laden om zoveel mogelijk zonnepaneeloverschotin de accu te frommelen.
Kan dat ook met de MG4?
MTVenus E V1 154.BMS.215 esp32RS485 · ShellyEmulatie · 18ZP 6*APS 5.9WP · EaseeHome · MG4lux2023 · ThemaV 7kW esp32RS485
Ik heb vandaag de auto bij van mossel in Waalwijk achtergelaten voor de servicebeurt en SC077. Ik had telefonisch al gemeld dat de bodemplaat ook vervormd is en de monteur omschreef het gekscherend als een sneeuwschep onder de auto, dus bekend probleem. Maar helaas van mossel heeft dit niet geregistreerd en bij navraag wou de medewerker er ook eerst niks vanaf weten dus na aandringen en de betreffende code TI-20231228-EH32 door te geven hebben ze 'beloofd' er naar te kijken en 'als' dit een probleem is proberen op te lossen. Zucht.(Het is gewoon garantie) Ik had mijn verwachtingen al aangepast bij deze garage maar mijn eerste ervaring hier is gemengd.
Ik heb de hoop dat met de software update alles naar laatste versie wordt gebracht en dat er niet modules dan wel entertainment wordt vergeten want R24 heeft wel wat bugs die ik bijna elke rit tegenkom. En ook dat ze de calibratie juist uitvoeren want zit er niet op te wachten om 60km naar Waalwijk te rijden voor elk muggenziftje.
Wat vragen:
- Zijn er mensen die de auto bij andere(officiele) garage dan van mossel een servicebeurt laten doen? Bv, Belgie Turnhout is voor mij dichtbij.
- Er zit helaas wat steenslag op de motorkap en lijkt door alle lagen lak heen. Hoe zie ik dit? Kan dit kwaad?
Van Mossel vroeg of ik de MG S5 als vervangende auto wilde accepteren zodra die over 3 maanden beschikbaar is, maar die past niet bij wat ik zoek. Mijn voorkeur ging uit naar de Lynk & Co 02 als alternatief, maar na overleg met hun Volvo-dealers blijkt dat ze die niet kunnen leveren. Wat vinden jullie van die auto?
Na de pogingen van de vestigingsmanager ligt de bal nu bij de directeur van Van Mossel.
Ligt er misschien aan of die toko in België officieel dealer is van MG? Je mag volgens Europese wetgeving sowieso jouw auto overal service laten verlenen zonder verlies van garantie. Zolang er maar aan de onderhoudsvoorschriften wordt voldaan. Die bewijslast ligt dan wel aan jouw kant mocht er een geschil ontstaan. Waar je in de problemen komt is (heb ik via een bevriende merkdealer gevraagd en laten uitzoeken) dat ze onmogelijk de software kunnen updaten door het gesloten ecosysteem én ook de onderdelen waren nog wat lastig begreep ik. Rare situatie eigenlijk dat je op die manier alsnog aan VM/andere importeur verbonden bent.Eavyon schreef op dinsdag 18 maart 2025 @ 19:16:
Wat vragen:
- Zijn er mensen die de auto bij andere garage dan van mossel een servicebeurt laten doen? Bv, Belgie Turnhout is voor mij dichtbij.
[ Voor 39% gewijzigd door gwnmikedus op 18-03-2025 20:10 ]
Ik schakel tussen mens en IT, maar m’n Lynk 02 More hoeft dat gelukkig niet | 18.000+ km
Komt goed uit, want sinds kort krijg ik soms onterecht een waarschuwing dat ik mijn handen niet aan het stuur heb...
Best vervelend dat hij opeens afremt met iemand achter je
En direct gevraagd om de batterij te checken ivm het het forse verbruik... Vergeleken met de meeste hier
Samsung A3050/AR7000 - Elga 3.0 - ME WSH-LN25I Diamond
Dat de bodemplaat niet vlak is heb ik ook, volgens mij doen ze daar niet veel aan, ik heb me daar wel bij neer kunnen leggen.Eavyon schreef op dinsdag 18 maart 2025 @ 19:16:
Zo ook ik heb een MG4 sinds paar weken. Oranje nog wel. Het is het 2022 model met software R24 en dus merk ik alle voorgenoemde problemen. Verder is het echt leuke auto en voldoet het precies aan wat ik nodig heb momenteel.
Ik heb vandaag de auto bij van mossel in Waalwijk achtergelaten voor de servicebeurt en SC077. Ik had telefonisch al gemeld dat de bodemplaat ook vervormd is en de monteur omschreef het gekscherend als een sneeuwschep onder de auto, dus bekend probleem. Maar helaas van mossel heeft dit niet geregistreerd en bij navraag wou de medewerker er ook eerst niks vanaf weten dus na aandringen en de betreffende code TI-20231228-EH32 door te geven hebben ze 'beloofd' er naar te kijken en 'als' dit een probleem is proberen op te lossen. Zucht.(Het is gewoon garantie) Ik had mijn verwachtingen al aangepast bij deze garage maar mijn eerste ervaring hier is gemengd.
Ik heb de hoop dat met de software update alles naar laatste versie wordt gebracht en dat er niet modules dan wel entertainment wordt vergeten want R24 heeft wel wat bugs die ik bijna elke rit tegenkom. En ook dat ze de calibratie juist uitvoeren want zit er niet op te wachten om 60km naar Waalwijk te rijden voor elk muggenziftje.
Wat vragen:
- Zijn er mensen die de auto bij andere(officiele) garage dan van mossel een servicebeurt laten doen? Bv, Belgie Turnhout is voor mij dichtbij.
- Er zit helaas wat steenslag op de motorkap en lijkt door alle lagen lak heen. Hoe zie ik dit? Kan dit kwaad?
de software update zijn fantastisch kan ik vertellen. die halen veel kleine bugs/irritaties weg (mits ze alle updates en kalibraties uitvoeren). Veel plezier ermee!
Ik heb bij een onderhoudsbeurt gevraagd om het probleem met de bodemplaat op te lossen.1234567y schreef op woensdag 19 maart 2025 @ 07:30:
[...]
Dat de bodemplaat niet vlak is heb ik ook, volgens mij doen ze daar niet veel aan, ik heb me daar wel bij neer kunnen leggen.
de software update zijn fantastisch kan ik vertellen. die halen veel kleine bugs/irritaties weg (mits ze alle updates en kalibraties uitvoeren). Veel plezier ermee!
De monteur heeft zijn best gedaan, maar veel beter is het niet.
Ik ben geneigd om de bodemplaat zelf los te maken en te kijken wat ik kan doen.
Misschien helpt het als je de gaten voor de bouten groter maakt, dan kan de plaat een beetje schuiven.
Een extra boutje kan natuurlijk niet, je kan niet in de bodem boren vanwege de batterij.
In november 2024 begon het thuisladen te haperen, uiteindelijk kon ik alleen nog snelladen.
27 december mocht ik naar de garage voor diagnose.
De resultaten moesten gedeeld worden met MG.
28 januari naar de garage voor aanvullende diagnose: resultaten wederom naar MG.
Er is toen een onderdeel besteld, maar begin maart nog steeds niet binnen.
Blijkbaar kan Van Mossel zelfs na meer dan drie maanden het probleem niet oplossen!
Ik heb een mail gestuurd naar de klachtenafdeling: https://www.vanmossel.nl/contact/klachten/
Mijn klacht had resultaat.
Ik werd teruggebeld na vier dagen en ik werd verwacht in de werkplaats binnen een week.
Mijn auto ging dus voor een derde keer een hele dag naar de garage.
Er is een module vervangen en nu werkt alles weer perfect.
Daarnaast hebben ze SC077 (software) geïnstalleerd.
Remt de auto als hij waarschuwt de controle over te nemen?Oxellaar schreef op dinsdag 18 maart 2025 @ 22:15:
Komt goed uit, want sinds kort krijg ik soms onterecht een waarschuwing dat ik mijn handen niet aan het stuur heb...
Best vervelend dat hij opeens afremt met iemand achter je
Ik heb via de app kunnen zien dat de auto rond 9 uur de garage in is gereden en heeft daar een uur gestaan waarna de auto naar de wasstraat is gereden 5km om dan tegen 11 uur weer voor de deur geparkeerd. Dit gaf mij al te denken dat ze nooit veel tijd hebben besteed aan de auto.
Om 2 uur krijg ik het telefoontje dat ze klaar zijn en ben hierna met de 'huurauto' weer naar ze toe gereden. (sidenote: Wat vermoeiend kan een schakelbak zijn, zeker wanneer je file treft.) De medewerker geeft aan dat ze niks zijn tegengekomen en dat de servicebeurt a €209 is uitgevoerd en SC077. Daarnaast zou naar de bodemplaat worden gekeken maar hier is niets aan gedaan dus hiermee blijven ze meteen in gebreke. Dit is gewoon garantie en daarnaast heb ik hierdoor last van suizend geluid. (De medewerker komt dan met een verhaal dat electrische autos zo stil zijn en ja dan hoor je alles dus ik zou het maar voor lief moeten nemen want het 'hoort' bij een EV?!)
Ik heb een andere medewerker aangesproken die ook even zou kijken naar de lakschade(lijkt op steenslag) en concludeert dat dit op den duur een probleem kan opleveren maar dat dit 90% de schuld is van de vorige gebruiker. Goed dit is een ding dat ik met de verkopende dealer ga oppakken. Ik wil alleen dat hierdoor niet mijn garantie vervalt dus daar moet gewoon een goede oplossing voor komen. vm wil hierin alleen niet meedenken al zijn zij de enige officiele dealer die mag beoordelen of de garantie behouden blijft.
Ik wil gaan vertrekken en controleer nog even of de entertainment software van R24 naar R63 is veranderd. NEE. Ik kijk in het servicemenu met de speciale code naar alle module software maar zie geen enkel verschil. Ik heb dit gemeld maar volgens vm is de update naar behoren uitgevoerd en is dit ook zo gemeld aan MG. Ik wil hem geloven dat voor SC077 een gedeelte van de software is geupdate en dat LKA zich nu gedraagd. Dus ik vertrek en aangezien ik 60km naar huis moet kom ik er vanzelf wel achter of er een verandering is in het gedrag van de auto. Nou NEE, nog steeds rukken aan het stuur en ook adaptive cruise control is zenuwachtig.
Nu dat ik zelf betere inspectie heb uitgevoerd zie ik ook roest in een ophanging onder motorkap. Dit is niet bij de servicebeurt naar voren gekomen. Momenteel is dit alleen oppervlakkig en is ook uit het zicht. Aandachtspuntje.
Edit: De bandendruk was 2,5 / 2,8 maar nu na de servicebeurt is het 2,9 / 3,0. Normaal is 2,5 voor/achter al voldoende dus wat die monteur heeft zitten denken... Edit2: Het zou kunnen dat ze wielen voor met achter hebben omgewisseld voor gelijke slijtage en achter opnieuw op druk gezet. Wie zal het zeggen.
Conclusie. Ik word morgen nog gebeld door vm, nadat de 'expert in MG' bij vm(naam is bij mij bekend) intern zijn mening heeft gedeeld, om te horen hoe het nu zit. Maar mijn inziens is de software update onvolledig en/of zijn sensoren niet opnieuw gekalibreerd. Ze zijn tenslotte maar heel kort bezig geweest met de auto. Dus laten we hopen dat ze iets verstandigs gaan zeggen. Ik ben eigenlijk al wel klaar met vm en ga voor de volgende beurt in het buitenland informeren aangezien daar geen exlusief dealerschap is afgesloten.
Ik ben daarnaast niet te spreken over hoe vm met hun gladde praatjes nagenoeg alles pareren wat ik aan ze vraag ipv dat ze een klant serieus nemen. Als het nou gaat over lak, garantie op bodemplaat, dat Waalwijk geen echte MG locatie van ze is en dat ik maar beter naar Den Bosch of Breda kan gaan. En dat de medewerker echt minachting uit naar mij alsof ik niks van de auto weet en dat hun monteurs het allemaal goed hebben gedaan. Maar de betreffende medewerker heeft zelf ook niet het verstand ervan dus de klant zal wel fout zijn. Teleurgesteld maar weer even volhouden totdat ze het minimale hebben uitgevoerd.
Eavyon schreef op dinsdag 18 maart 2025 @ 19:16:
Zo ook ik heb een MG4 sinds paar weken. Oranje nog wel. Het is het 2022 model met software R24 en dus merk ik alle voorgenoemde problemen. Verder is het echt leuke auto en voldoet het precies aan wat ik nodig heb momenteel.
Ik heb vandaag de auto bij van mossel in Waalwijk achtergelaten voor de servicebeurt en SC077. Ik had telefonisch al gemeld dat de bodemplaat ook vervormd is en de monteur omschreef het gekscherend als een sneeuwschep onder de auto, dus bekend probleem. Maar helaas van mossel heeft dit niet geregistreerd en bij navraag wou de medewerker er ook eerst niks vanaf weten dus na aandringen en de betreffende code TI-20231228-EH32 door te geven hebben ze 'beloofd' er naar te kijken en 'als' dit een probleem is proberen op te lossen. Zucht.(Het is gewoon garantie) Ik had mijn verwachtingen al aangepast bij deze garage maar mijn eerste ervaring hier is gemengd.
Ik heb de hoop dat met de software update alles naar laatste versie wordt gebracht en dat er niet modules dan wel entertainment wordt vergeten want R24 heeft wel wat bugs die ik bijna elke rit tegenkom. En ook dat ze de calibratie juist uitvoeren want zit er niet op te wachten om 60km naar Waalwijk te rijden voor elk muggenziftje.
Wat vragen:
- Zijn er mensen die de auto bij andere(officiele) garage dan van mossel een servicebeurt laten doen? Bv, Belgie Turnhout is voor mij dichtbij.
- Er zit helaas wat steenslag op de motorkap en lijkt door alle lagen lak heen. Hoe zie ik dit? Kan dit kwaad?
Ja... Hij remt. Tenminste, gas los en regenereren is hetzelfde als remmen.Mg4gebruiker schreef op woensdag 19 maart 2025 @ 19:01:
[...]
Remt de auto als hij waarschuwt de controle over te nemen?
Samsung A3050/AR7000 - Elga 3.0 - ME WSH-LN25I Diamond
Opmerking van de baliemedewerker bij Van Mossel in Den Bosch n.a.v. een storing:Eavyon schreef op woensdag 19 maart 2025 @ 19:45:
Zo mijn ervaring bij van mossel Waalwijk. Ronduit slecht.
Conclusie. Ik word morgen nog gebeld door vm, nadat de 'expert in MG' bij vm(naam is bij mij bekend) intern zijn mening heeft gedeeld, om te horen hoe het nu zit. Maar mijn inziens is de software update onvolledig en/of zijn sensoren niet opnieuw gekalibreerd. Ze zijn tenslotte maar heel kort bezig geweest met de auto. Dus laten we hopen dat ze iets verstandigs gaan zeggen. Ik ben eigenlijk al wel klaar met vm en ga voor de volgende beurt in het buitenland informeren aangezien daar geen exlusief dealerschap is afgesloten.
Ik ben daarnaast niet te spreken over hoe vm met hun gladde praatjes nagenoeg alles pareren wat ik aan ze vraag ipv dat ze een klant serieus nemen. Als het nou gaat over lak, garantie op bodemplaat, dat Waalwijk geen echte MG locatie van ze is en dat ik maar beter naar Den Bosch of Breda kan gaan. En dat de medewerker echt minachting uit naar mij alsof ik niks van de auto weet en dat hun monteurs het allemaal goed hebben gedaan. Maar de betreffende medewerker heeft zelf ook niet het verstand ervan dus de klant zal wel fout zijn. Teleurgesteld maar weer even volhouden totdat ze het minimale hebben uitgevoerd.
[...]
MG is een lastige auto.
Over MG Nijmegen: daar weten ze alles van MG.
De fix vanuit MG is volgens mij een strip over de bodemplaat te monteren die de boel plat drukt met aandraaie.1234567y schreef op woensdag 19 maart 2025 @ 07:30:
[...]
Dat de bodemplaat niet vlak is heb ik ook, volgens mij doen ze daar niet veel aan, ik heb me daar wel bij neer kunnen leggen.
de software update zijn fantastisch kan ik vertellen. die halen veel kleine bugs/irritaties weg (mits ze alle updates en kalibraties uitvoeren). Veel plezier ermee!
Is evt. ook wel zelf te maken (ik zat er al haast aan te denken om er een paar van RVS te laten snijden op mijn werk
Vaak bu'j te bang!
Medewerker opnieuw komt met antwoord dat het rukken aan het stuur met SC077 niet veranderd maar dat het wel geupdate is. Laten we maar zeggen dat de persoon gewoon geen ervaring met MG4 heeft.
15 april nieuwe afspraak en duurt 1,5 tot 2 uur. Ik blijf erbij en stel mijn vragen direct aan de monteur.
Nog kleine opmerking over maintenance check sheet die ik heb meegekregen. Mijn formulier is maar met half oog ingevuld, alles onder type A gezet terwijl ze type B hebben uitgevoerd. SOC en SOH allebei 100% wat 45% en 99% zou moeten zijn.(Mogelijk is de ODB niet eens aangesloten want ik had vergeten mijn adapter eruit te halen) Bandendruk 2,8 ingevuld en ook dat wijkt af. Ik wil het maar vermeld hebben.
Eavyon schreef op woensdag 19 maart 2025 @ 19:45:
Zo mijn ervaring bij van mossel Waalwijk. Ronduit slecht.
Ik heb via de app kunnen zien dat de auto rond 9 uur de garage in is gereden en heeft daar een uur gestaan waarna de auto naar de wasstraat is gereden 5km om dan tegen 11 uur weer voor de deur geparkeerd. Dit gaf mij al te denken dat ze nooit veel tijd hebben besteed aan de auto.
Om 2 uur krijg ik het telefoontje dat ze klaar zijn en ben hierna met de 'huurauto' weer naar ze toe gereden. (sidenote: Wat vermoeiend kan een schakelbak zijn, zeker wanneer je file treft.) De medewerker geeft aan dat ze niks zijn tegengekomen en dat de servicebeurt a €209 is uitgevoerd en SC077. Daarnaast zou naar de bodemplaat worden gekeken maar hier is niets aan gedaan dus hiermee blijven ze meteen in gebreke. Dit is gewoon garantie en daarnaast heb ik hierdoor last van suizend geluid. (De medewerker komt dan met een verhaal dat electrische autos zo stil zijn en ja dan hoor je alles dus ik zou het maar voor lief moeten nemen want het 'hoort' bij een EV?!)
Ik heb een andere medewerker aangesproken die ook even zou kijken naar de lakschade(lijkt op steenslag) en concludeert dat dit op den duur een probleem kan opleveren maar dat dit 90% de schuld is van de vorige gebruiker. Goed dit is een ding dat ik met de verkopende dealer ga oppakken. Ik wil alleen dat hierdoor niet mijn garantie vervalt dus daar moet gewoon een goede oplossing voor komen. vm wil hierin alleen niet meedenken al zijn zij de enige officiele dealer die mag beoordelen of de garantie behouden blijft.
Ik wil gaan vertrekken en controleer nog even of de entertainment software van R24 naar R63 is veranderd. NEE. Ik kijk in het servicemenu met de speciale code naar alle module software maar zie geen enkel verschil. Ik heb dit gemeld maar volgens vm is de update naar behoren uitgevoerd en is dit ook zo gemeld aan MG. Ik wil hem geloven dat voor SC077 een gedeelte van de software is geupdate en dat LKA zich nu gedraagd. Dus ik vertrek en aangezien ik 60km naar huis moet kom ik er vanzelf wel achter of er een verandering is in het gedrag van de auto. Nou NEE, nog steeds rukken aan het stuur en ook adaptive cruise control is zenuwachtig.
Nu dat ik zelf betere inspectie heb uitgevoerd zie ik ook roest in een ophanging onder motorkap. Dit is niet bij de servicebeurt naar voren gekomen. Momenteel is dit alleen oppervlakkig en is ook uit het zicht. Aandachtspuntje.
Edit: De bandendruk was 2,5 / 2,8 maar nu na de servicebeurt is het 2,9 / 3,0. Normaal is 2,5 voor/achter al voldoende dus wat die monteur heeft zitten denken... Edit2: Het zou kunnen dat ze wielen voor met achter hebben omgewisseld voor gelijke slijtage en achter opnieuw op druk gezet. Wie zal het zeggen.
Conclusie. Ik word morgen nog gebeld door vm, nadat de 'expert in MG' bij vm(naam is bij mij bekend) intern zijn mening heeft gedeeld, om te horen hoe het nu zit. Maar mijn inziens is de software update onvolledig en/of zijn sensoren niet opnieuw gekalibreerd. Ze zijn tenslotte maar heel kort bezig geweest met de auto. Dus laten we hopen dat ze iets verstandigs gaan zeggen. Ik ben eigenlijk al wel klaar met vm en ga voor de volgende beurt in het buitenland informeren aangezien daar geen exlusief dealerschap is afgesloten.
Ik ben daarnaast niet te spreken over hoe vm met hun gladde praatjes nagenoeg alles pareren wat ik aan ze vraag ipv dat ze een klant serieus nemen. Als het nou gaat over lak, garantie op bodemplaat, dat Waalwijk geen echte MG locatie van ze is en dat ik maar beter naar Den Bosch of Breda kan gaan. En dat de medewerker echt minachting uit naar mij alsof ik niks van de auto weet en dat hun monteurs het allemaal goed hebben gedaan. Maar de betreffende medewerker heeft zelf ook niet het verstand ervan dus de klant zal wel fout zijn. Teleurgesteld maar weer even volhouden totdat ze het minimale hebben uitgevoerd.
[...]
Jij hebt tenminste nog een sheet meegekregen.....Eavyon schreef op donderdag 20 maart 2025 @ 15:58:
Een kleine update. Vandaag ben ik terug gebeld en antwoord is: eigenlijk had meer geupdate moeten worden. Procedure volgens van mossel is dat alleen andere updates worden uitgevoerd wanneer de klant klachten heeft over functioneren van de auto. Dit is uiteraard procedure van van mossel en niet zoals het in onderhoudsboekje staat van MG. Ik weet dat dit dus vervelend genoeg bij iedereen moeilijk over wordt gedaan en je dus zelf hier direct achteraan moet gaan.
Medewerker opnieuw komt met antwoord dat het rukken aan het stuur met SC077 niet veranderd maar dat het wel geupdate is. Laten we maar zeggen dat de persoon gewoon geen ervaring met MG4 heeft.
15 april nieuwe afspraak en duurt 1,5 tot 2 uur. Ik blijf erbij en stel mijn vragen direct aan de monteur.
Nog kleine opmerking over maintenance check sheet die ik heb meegekregen. Mijn formulier is maar met half oog ingevuld, alles onder type A gezet terwijl ze type B hebben uitgevoerd. SOC en SOH allebei 100% wat 45% en 99% zou moeten zijn.(Mogelijk is de ODB niet eens aangesloten want ik had vergeten mijn adapter eruit te halen) Bandendruk 2,8 ingevuld en ook dat wijkt af. Ik wil het maar vermeld hebben.
[...]
Ik had je gewaarschuwd, dit gaan ze niet oplossen.gwnmikedus schreef op dinsdag 18 maart 2025 @ 19:58:
Vorige week woensdag de vervangende MG4 XPower getest, die direct op mijn naam zou worden overgezet als alles goed was. Maar ja… zelfde probleem: stuurtrilling én oude software (omg). Blijkbaar hoeven we in Nederland geen MY2024-update te verwachten; dit was gewoon weer een 2023-productiemodel. Volgens VM Rotterdam komt er geen nieuw MY in NL.
Sleutel op de toonbank, geld terugstorten en hard wegrennen.
En als levensles meenemen, geen auto meer kopen bij een Van Mossel dealer.
Mr. T.
Ik hoop dat dit China only blijft, dit is gewoon een electrische MG3 en dan een maatje groter?
Intel Core i7 920 @ 3.6 / 4ghz, MSI X58 Pro-E, AMD Radeon HD 5870, 6GB DDR-3 1066
Vaak bu'j te bang!
Hele saaie auto geworden zeg! Vreemd, ze leken de goede weg in geslagen. Nieuwe versie ziet er uit als een leuke auto voor oma.Denizz schreef op vrijdag 21 maart 2025 @ 14:34:
https://carnewschina.com/...chback-revealed-in-china/
Ik hoop dat dit China only blijft, dit is gewoon een electrische MG3 en dan een maatje groter?
Tis helemaal goed gekomen. Ik heb de auto vandaag terug gebracht bij VM Rotterdam en het aankoopbedrag terug gekregen. Aankomende woensdag mag ik de Lynk & Co 02 More ophalen bij Ton Van Kuyk in Alkmaar. Wat een top service daar zeg! Alles voelt daar oprecht en degelijk, vergeleken met de XPower lever je wel wat absurde performance in. De infotainment en geluid is echter wel waaay ahead.TTommie schreef op vrijdag 21 maart 2025 @ 00:02:
[...]
Ik had je gewaarschuwd, dit gaan ze niet oplossen.
Sleutel op de toonbank, geld terugstorten en hard wegrennen.
En als levensles meenemen, geen auto meer kopen bij een Van Mossel dealer.
Ik wens iedereen het beste met de MG4, qua uiterlijk blijf ik die het mooist vinden (in z’n klasse). Ik ga m toch nog wel missen.
Ik schakel tussen mens en IT, maar m’n Lynk 02 More hoeft dat gelukkig niet | 18.000+ km
Ook ik heb mijn MG4 ingeruild, maar eerlijk is heerlijk, ik vond het een heerlijke wagen om mee onderweg te zijn.gwnmikedus schreef op vrijdag 21 maart 2025 @ 19:12:
[...]
Ik wens iedereen het beste met de MG4, qua uiterlijk blijf ik die het mooist vinden (in z’n klasse). Ik ga m toch nog wel missen.
Het model was liefde op het eerste gezicht en wat ik hierboven zag als opvolger

Persoonlijk geen problemen gehad bij/met VM en ik ben altijd netjes geholpen in Rotterdam met speciale dank aan Michel die me altijd keurig heeft geholpen.
Het inruilen deed me wel pijn in de portemonnee, helaas het was niet anders en geld alleen maakt ook niet gelukkig, rijd nu in een forse Koreaan, niet alles is beter maar wel luxer, hier geef je wat en daar laat je wat, maar dat is denk ik met allerlei dingen in het leven, alles heeft zo zijn voor en tegens.
Wens u allen nog veel plezier met uw MG4 en dat hij u nog lang en trouw mag dienen
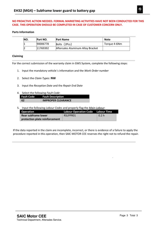
Ik vond dit document in het Engelse forum:-tom-562 schreef op donderdag 20 maart 2025 @ 11:21:
[...]
De fix vanuit MG is volgens mij een strip over de bodemplaat te monteren die de boel plat drukt met aandraaie.
Is evt. ook wel zelf te maken (ik zat er al haast aan te denken om er een paar van RVS te laten snijden op mijn werk)
Het geeft volgens mij aan dat Van Mossel het moet oplossen en claimen als garantie bij MG
:strip_exif()/f/image/tmdOvCpMAMTrs5suNT9f75fv.jpg?f=fotoalbum_large)
:strip_exif()/f/image/wYt2yCV4pPqW99w0bKPb8P4e.jpg?f=fotoalbum_large)
:strip_exif()/f/image/IABpEpim6HIyF5h0Lu5wf7Z2.jpg?f=fotoalbum_large)
[ Voor 52% gewijzigd door jbraamse op 22-03-2025 11:04 ]
Ik heb dit document onder hun neus geduwd maar als de 'backoffice' er geen verstand van heeft kijken ze niet eens naar. Dus ik heb een mankement aan de auto wat van mossel nog niet onder garantie wil oppakken. Gelukkig wil mijn verkopende dealer mee proberen vm dit op te laten lossen aangezien ik dit mankement bij aankoop op papier heb laten zetten. Maar zal nog wel even duren voordat het daadwerkelijk is aangepakt.jbraamse schreef op zaterdag 22 maart 2025 @ 11:02:
[...]
Ik vond dit document in het Engelse forum:
Het geeft volgens mij aan dat Van Mossel het moet oplossen en claimen als garantie bij MG[Afbeelding][Afbeelding][Afbeelding]
Ik heb er een advocaat op gezet. Niet alleen daarvoor. Maar hij zit er nu onder.Eavyon schreef op zaterdag 22 maart 2025 @ 13:13:
[...]
Ik heb dit document onder hun neus geduwd maar als de 'backoffice' er geen verstand van heeft kijken ze niet eens naar. Dus ik heb een mankement aan de auto wat van mossel nog niet onder garantie wil oppakken. Gelukkig wil mijn verkopende dealer mee proberen vm dit op te laten lossen aangezien ik dit mankement bij aankoop op papier heb laten zetten. Maar zal nog wel even duren voordat het daadwerkelijk is aangepakt.
Ga niet naar MG Nijmegen. Lees de ervaringen in het topic. Niet doen.jbraamse schreef op donderdag 20 maart 2025 @ 11:20:
[...]
Opmerking van de baliemedewerker bij Van Mossel in Den Bosch n.a.v. een storing:
MG is een lastige auto.
Over MG Nijmegen: daar weten ze alles van MG.
Ga naar van Mossel Nissan in Tiel. Service is prima.
Citroen/MG Duivendrecht is ook mwah... updates zijn wel gelukt alleen hadden ze niet door dat de leenauto op een laadschema staat ingesteld en dus niet laad aan de paal. Ik kreeg een auto mee die niet was opgeladen en 60km range had. Thuis maar bijgeladen.Henno Keers schreef op zondag 23 maart 2025 @ 11:22:
[...]
Ga niet naar MG Nijmegen. Lees de ervaringen in het topic. Niet doen.
Ga naar van Mossel Nissan in Tiel. Service is prima.
Op een klacht krijg je geen reactie heb het klachtenformulier ingevuld voor het vergeten pollenfilter.
Ze hadden hier eerst een medewerker die wel aardig zn best deed voor me, maar sinds die weg is echt drama. Had er wellicht ook mee te maken dat hij degene was die me de auto had 'verkocht' (of hoe noem je dat bij lease?). Assertief zijn helpt trouwens, hou er niet erg van om de 'Karen' te spelen, maar bij VM is het helaas nodig soms.Vaevictis_ schreef op zondag 23 maart 2025 @ 11:44:
[...]
Citroen/MG Duivendrecht is ook mwah... updates zijn wel gelukt alleen hadden ze niet door dat de leenauto op een laadschema staat ingesteld en dus niet laad aan de paal. Ik kreeg een auto mee die niet was opgeladen en 60km range had. Thuis maar bijgeladen.
Op een klacht krijg je geen reactie heb het klachtenformulier ingevuld voor het vergeten pollenfilter.
Warzone spelen met andere tweakers? https://discord.gg/EYT3SC9
Ja software update van de obc.Tiddie schreef op maandag 24 maart 2025 @ 20:35:
Vraagje. Mijn mg4 laad niet meer goed ac . Als ik hem aansluit laad ie en paar minuten en dan stopt ie . Weet iemand wat dit kan wezen ?
Ja. Zie hierboven.Vaevictis_ schreef op maandag 24 maart 2025 @ 18:44:
Ook maar eens gekeken naar de bodemplaat. Is niet zo best. Heeft iemand deze al onder garantie laten vervangen?
[Afbeelding]
Ik heb het probleem ook gehad.Mg4gebruiker schreef op dinsdag 25 maart 2025 @ 09:55:
[...]
Niet altijd. Soms moet de hele unit vervangen worden.
Bij Stellantis krijgen ze hiervan een hartverzakking .... Maar MG doet ook flink zijn best. Ben benieuwt wie de fabrikant is bij MG. Bij Stellantis is het een Mahle unit.
Het laden verloopt steeds slechter, je moet het steeds opnieuw starten.
Na verloop van tijd houdt het helemaal op, je kan dan nog alleen snelladen.
Officiële koers van MG is eerst software update, als dat niet helpt dan wordt de laad-module vervangen.
Bij mij hielp de software update slechts een paar maanden, daarna begon het weer.
Vorige week is de laad-module vervangen, probleem opgelost.
Het is een bekend probleem, meer mensen hebben er last van.
Voor wat betreft Stellantis, ik heb gisteren de uitzending van Radar gezien.
Ik verwacht niet dat MG Duitse onderdelen gebruikt.
Het kan natuurlijk wel zo zijn dat Mahle een Chinees onderdeel levert.
Voordeel voor ons: wij hebben 7 jaar garantie
Ik heb gisteren contact gehad met Van Mossel in Den Bosch.Vaevictis_ schreef op maandag 24 maart 2025 @ 18:44:
Ook maar eens gekeken naar de bodemplaat. Is niet zo best. Heeft iemand deze al onder garantie laten vervangen?
[Afbeelding]
Er werd mij verteld dat dit onderdeel binnen Van Mossel niet bekend is.
Ze gaan het voorleggen aan MG.
Mogelijk helpt het als meer mensen deze kwestie aankaarten bij hun dealer.
ik heb hem onder de auto zitten. Ik heb hen de engelse MG documenten toegestuurd.jbraamse schreef op dinsdag 25 maart 2025 @ 11:37:
[...]
Ik heb gisteren contact gehad met Van Mossel in Den Bosch.
Er werd mij verteld dat dit onderdeel binnen Van Mossel niet bekend is.
Ze gaan het voorleggen aan MG.
LKA systeem schijnt van Bosch te zijn.....jbraamse schreef op dinsdag 25 maart 2025 @ 11:30:
[...]
Ik verwacht niet dat MG Duitse onderdelen gebruikt.
Het kan natuurlijk wel zo zijn dat Mahle een Chinees onderdeel levert.
Voordeel voor ons: wij hebben 7 jaar garantie
Idem voor stuurbekrachtiging.
[ Voor 4% gewijzigd door Mg4gebruiker op 25-03-2025 22:14 ]
Wat zijn Duitse onderdelen....?jbraamse schreef op dinsdag 25 maart 2025 @ 11:30:
[...]
Ik verwacht niet dat MG Duitse onderdelen gebruikt.
Het kan natuurlijk wel zo zijn dat Mahle een Chinees onderdeel levert.
Voordeel voor ons: wij hebben 7 jaar garantie
Misschien leuk om te vermelden, maar Siac Motors, de eigenaar van MG, heeft een samenwerkingsverband met Volkswagen.
Siac bouwt heel wat VW modellen in Siac fabrieken in China.
De hele wereld speelt leentjebuur bij elkaar, qau kennis, techniek en onderdelen.
Echt Duits, maar ook echt Chinees, bestaat niet
Samsung A3050/AR7000 - Elga 3.0 - ME WSH-LN25I Diamond
Vaak bu'j te bang!
Wat grappig, vroeg me al af of die 02's nooit werden uitgeleverd tot er opeens geen 2 maar nog maar eentje stond. Die gaat dus naar jou.gwnmikedus schreef op vrijdag 21 maart 2025 @ 19:12:
[...]
Tis helemaal goed gekomen. Ik heb de auto vandaag terug gebracht bij VM Rotterdam en het aankoopbedrag terug gekregen. Aankomende woensdag mag ik de Lynk & Co 02 More ophalen bij Ton Van Kuyk in Alkmaar. Wat een top service daar zeg! Alles voelt daar oprecht en degelijk, vergeleken met de XPower lever je wel wat absurde performance in. De infotainment en geluid is echter wel waaay ahead.
Ik wens iedereen het beste met de MG4, qua uiterlijk blijf ik die het mooist vinden (in z’n klasse). Ik ga m toch nog wel missen.