www.maartendeboer.net
1D X | 5Ds | Zeiss Milvus 25, 50, 85 f/1.4 | Zeiss Otus 55 f/1.4 | Canon 200 f/1.8 | Canon 200 f/2 | Canon 300 f/2.8
Volgens mij is displayport 1.2 maximaal 4k op 60Hz het max en 2x 4k alleen op 30HzVentieldopje schreef op maandag 29 december 2014 @ 15:11:
Volgens mij is 1 dp 1.2 poort genoeg voor 2x 4k of 1x 8k
Displayport 1.3 gaat wel tot 2x4k@60Hz en 8k op 60Hz maar die ingang zit nog niet op de monitoren.
www.maartendeboer.net
1D X | 5Ds | Zeiss Milvus 25, 50, 85 f/1.4 | Zeiss Otus 55 f/1.4 | Canon 200 f/1.8 | Canon 200 f/2 | Canon 300 f/2.8
Mini displayport kan evenveel aan als een normale displayport aansluiting. Als je een kaart hebt gevonden met 2x mini displayport 1.2 dan is dat ook goed dus.stunter schreef op maandag 29 december 2014 @ 14:34:
[...]
Deze prijs is al aardig wat gezakt. Ik had deze monitor afgeschreven door de verwachte prijs van 2500 euro. Was eigelijk al bezig met een 2x een P2715Q UDH IPS (topic)
Als ik de manual lees staat er dat er 2x Displayport 1.2 op aangesloten moet worden om de 5K resolutie aan te sturen op 60Hz. Alleen de highend kaarten of quadro kaarten hebben een 2x displayport 1.2
Volgens mij werken kaarten met 2x mini displayport niet.
Werkt een displayport 1.2 van je moederbord samen met een displayport 1.2 van een budget kaart om deze monitor aan te sturen in 5K ?
Het lijkt mij sterk dat een onboard Intel + extra Ati / Nvidia kaart samen 1 beeldsignaal kunnen genereren. Als een laptop zowel onboard video als een losse videokaart heeft is het ook 1 van de 2 die het beeld aanstuurt, dat doen ze niet gezamenlijk tegelijk.
Mooi scherm heb je overigens op het oog
iMac Retina 5K 27” 2020 / i7 / 64GB / Radeon X5700 XT 16GB / 1TB SSD || Macbook Air 2020 M1 / 16GB / 1TB SSD || Synology DS415+ / 8GB / 48TB || iPhone 13 Mini 256GB
Displayport mini is maximaal 2560×1600 volgens wikipedia. Kaarten met 4 uitgangen zijn ook weer totaal gelimiteerd.
Bij b.v. een SAPPHIRE AMD FirePro™ W2100 met 2 displayport 1.2 uitgangen staat op de site 4k @60Hz Zoek je verder en kijk je dan in de datasheet staat er als je 2 UHD schermen aansluit de kaart nog maar 30Hz kan uit sturen. Zelfde voor goedkoope quadro kaarten
Dus het makkelijk aan sturen van 2UHD schermen of de 5k schermen op 60Hz is mij niet duidelijk. Ik wil alleen 2D werk doen en tottaal geen intresse in 3D
Vandaar dat ik hoop dat de optie moederbord met dp 1.2 uitgang plus budget videokaart met dp 1.2 gaat werken.
[ Voor 11% gewijzigd door stunter op 30-12-2014 15:33 ]
Dat is gek, bij mijn Dell UP2414Q (4K dus) zat een mini DP naar DP kabel.stunter schreef op dinsdag 30 december 2014 @ 15:01:
Displayport mini is maximaal 2560×1600 volgens wikipedia. Kaarten met 4 uitgangen zijn ook weer totaal gelimiteerd.
Op mijn videokaart zit 1 'grote' DP 1.2 aansluiting, dus daar heb ik de kabel ingestoken en de mini DP kant in de monitor. Hiermee heb ik gewoon 3840x2160 @ 60 Hz, dus via de mini DP aansluiting van de monitor zelf.
Op de displayport site lees ik het volgende in de FAQ:
Zie http://www.displayport.org/faq/#DisplayPort%20General%20FAQQ: What is the difference between Mini DisplayPort and standard DisplayPort? Mini DisplayPort is what I am seeing on the Apple Macs. Does anyone have monitors that are powered, and have audio running over DisplayPort?
A: Mini DisplayPort connectors are now standardized by VESA and are fully compatible with standard DisplayPort connectors. Audio is an optional feature in DisplayPort v1.1a, and is now supported by several graphics cards and monitors.
Ik denk daarom dat het Wikipedia artikel niet klopt
Hoe je 5K voor elkaar gaat krijgen op 60 Hz weet ik ook niet, hopelijk blijkt dat uit de handleiding van het scherm of uit de eerste testreviews.stunter schreef op dinsdag 30 december 2014 @ 15:01:
[..]
Dus het makkelijk aan sturen van 2UHD schermen of de 5k schermen op 60Hz is mij niet duidelijk.
[ Voor 24% gewijzigd door BackSlash op 30-12-2014 15:47 ]
iMac Retina 5K 27” 2020 / i7 / 64GB / Radeon X5700 XT 16GB / 1TB SSD || Macbook Air 2020 M1 / 16GB / 1TB SSD || Synology DS415+ / 8GB / 48TB || iPhone 13 Mini 256GB
Zelfs DisplayPort 1.3 kan nog lang geen 8K in RGB mode of in YCbCr 4:4:4 subsampling mode weergeven. Hoogste wat kan is 4:2:0 subsampling. Voorlopig zitten 8K computerbeeldschermen er dus nog niet in, daar moet de bandbreedte van DP 1.3 nog een keer voor verdubbelen, of je moet 2x DP 1.3 gebruiken.stunter schreef op maandag 29 december 2014 @ 16:01:
Volgens mij is displayport 1.2 maximaal 4k op 60Hz het max en 2x 4k alleen op 30Hz
Displayport 1.3 gaat wel tot 2x4k@60Hz en 8k op 60Hz maar die ingang zit nog niet op de monitoren.
Voor het maximale van Rec. 2020 heb je zelfs 6x de bandbreedte van DP 1.3 nodig. Dat is 8K @ 120 Hz @ 36 bpp (=12 bits kleurdiepte per kanaal) in RGB of YCbCr 4:4:4.
[ Voor 11% gewijzigd door Kid Jansen op 30-12-2014 15:40 ]
Met de GTX 980 schijnt het iig te gaan.
[ Voor 35% gewijzigd door edward2 op 30-12-2014 15:56 ]
Niet op voorraad.
Ja dat had ik gezien in de manual en op de enkele videokaart heb je dan 30Hz helaas net als met 2uhd schermen. Ik wil graag 60Hz Het gaat op een 980 maar om die te kopen voor 2d werk.edward2 schreef op dinsdag 30 december 2014 @ 15:54:
5K gaat via 2 displayport aansluitingen en met MST.
Zie je verandering we zitten op 1 lijn ik had de hoop dat iemand kon vertellen of mijn idea van moederbord + budget kaart werkt
[ Voor 24% gewijzigd door stunter op 30-12-2014 16:02 ]
Ik haal (60hz) het hier niet exact uit, maar volgens heeft hij geen problemen meer
https://forums.geforce.co...rs/dell-up2715k-support-/
Ik dacht ook nog ergens anders te lezen dat het werkte, als ik dat nog zie, plaats ik het wel hier.
Edit,
het staat er nog steeds niet 1 op 1 in, maar na het lezen van het onderstaande, ga ik ervan uit dat 5K@60hz moet werken in Win8.1 en met een 980GTX.
http://forum.netkas.org/index.php?topic=8652.0
[ Voor 24% gewijzigd door edward2 op 30-12-2014 16:10 ]
Niet op voorraad.
Wat ik vaak lees bij videokaarten met 2xdisplayport 1.2 uitgangen
With two discrete DisplayPort outputs with DisplayPort 1.2a support, the AMD FirePro W2100 can drive one 4K display at 60 Hz or drive up to two 4K displays at 30 Hz. 4K displays and content required.
Behalve bij de high end quadro en volgens mij had ik dit ook gezien voor de gtx 980
Dat klopt dus niet, met één (mini) displayport 1.2 uitgang kan je al een 4k display op 60 Hz aansturen.stunter schreef op dinsdag 30 december 2014 @ 16:26:
Wat ik vaak lees bij videokaarten met 2xdisplayport 1.2 uitgangen
With two discrete DisplayPort outputs with DisplayPort 1.2a support, the AMD FirePro W2100 can drive one 4K display at 60 Hz or drive up to two 4K displays at 30 Hz. 4K displays and content required.
Behalve bij de high end quadro en volgens mij had ik dit ook gezien voor de gtx 980
De 2715K zelf heeft ook twee 1.2 poorten aan boord, oftewel displayport 1.3 is geen vereiste.
Wat je nodig hebt is 1 videokaart met twee 1.2 (mini) displayport uitgangen + een Dual DP cable. That's it.
Ik raad je aan om je info van http://www.displayport.org/ te halen, zij zullen het echt moeten weten
[ Voor 6% gewijzigd door BackSlash op 30-12-2014 16:41 ]
iMac Retina 5K 27” 2020 / i7 / 64GB / Radeon X5700 XT 16GB / 1TB SSD || Macbook Air 2020 M1 / 16GB / 1TB SSD || Synology DS415+ / 8GB / 48TB || iPhone 13 Mini 256GB
Of van www.vesa.org.BackSlash schreef op dinsdag 30 december 2014 @ 16:40:
Ik raad je aan om je info van http://www.displayport.org/ te halen, zij zullen het echt moeten weten
Verwijderd
[ Voor 9% gewijzigd door Verwijderd op 30-12-2014 21:47 ]
Wat voor testbeeld gebruik je? IPS en vergelijkbare paneeltechnologieën hebben bij donkere beelden vaak last van IPS glow. Als je het scherm dan onder een hoek bekijkt wordt het veel lichter. Daarnaast hebben alle LCD paneeltechnologieën in zekere mate last van afnemende helderheid onder een hoek, color shift en gamma shift.Verwijderd schreef op dinsdag 30 december 2014 @ 21:45:
Ik heb een raar probleem met mijn Dell U2414H monitor. Dit is een IPS monitor. Echter wanneer ik mijn monitor vanaf de zijkant of bovenkant bekijk vervaagt de diepte van de kleur en lijkt het net TN kijkhoeken te hebben. Dit kan toch niet kloppen? Ligt dit aan de coating of hebben sommige modellen een TN paneel erin zitten. Het valt voornamelijk op als je van een hogere kijkhoek ernaar kijkt.
Zou je anders eens in een compleet verduisterde ruimte een foto kunnen maken van het scherm recht van voren met een kleurrijk testbeeld met zowel lichte als donkere vlakken en vervolgens het scherm met dezelfde camera-instellingen fotograferen onder een hoek van 45°. In ieder geval van boven (omdat je aangeeft er vooral dan last van te hebben), maar misschien meteen van opzij en van onderaf ook doen.
Ik ben eigenlijk heel benieuwd of ik het verschil zie met mn oude monitor: Iiyama ProLite E2773HDS-B1.
Ik zal hem gebruiken in combinatie met een gtx 980 en dan voor werk en gamen.
Maar ik MOET hem dan via dp aansluiten en niet via hdmi om de hogere resolutie te gebruiken?
ik ben niet zo thuis in monitor aansluitingen en resoluties.
Ben echt benieuwd hoe ik het verschil ervaar tussen tn en ips.
ps: heb je review ook gelezen van wayyyyy back in the years van de 3011. Impressive
Het maakt niet echt uit welke je pakt. DisplayPort heeft nog wel eens last van kleine bugs, vooral met het in stand-by gaan en er weer uit komen van het scherm. Wat ik wel een voordeel vind is dat de kabel een stuk dunner is en daardoor minder stug is. Ook is de connector een stuk kleiner en heeft deze een veel simpelere beveiliging tegen losschieten (drukknop in plaats van schroefjes).beebie121 schreef op woensdag 31 december 2014 @ 11:20:
Maar wat zou je adviseren dan? gewoon dp?
Het is jammer dat ik toen nog niet de apparatuur en kennis had die ik nu heb. M'n reviews van de U2410, U2711 en U3011 zijn nog niet eens half zo goed als m'n review van de AOC q2770Pqu.ps: heb je review ook gelezen van wayyyyy back in the years van de 3011. Impressive
M'n review van de U2412M komt gelukkig een heel stuk meer in de goede richting. In ieder geval had ik daar al m'n nieuwe apparatuur. Dus de metingen zijn veel nauwkeuriger.
Ik ben op zoek naar een nieuw scherm voor mijn desktop (momenteel nog Windows PC, maar binnen enkele maanden ga ik deze vervangen door een mac mini). Ik zoek een scherm dat mij vele jaren kan dienen (mijn huidige is een 20" scherm dat intussen 9 jaar oud is) en daarom is na wat research mijn oog gevallen op de Dell ultrasharp serie. Nu alleen nog kiezen welk!
Momenteel neig ik naar de Dell Ultrasharp U2414H (860-BBCW) Zilver, Zwart, dit scherm lijkt me een enorme prijs/kwaliteits verhouding te bieden. Echter twijfel ik of ik niet beter meteen de overstap doe naar 27" en voor de nieuwe Dell Ultrasharp U2715H Zwart ga.
De prijs is het dubbel, voor 3" en veel resolutie extra. Kunnen jullie mij nog wat argumenten geven om te helpen kiezen voor een 27" of 24" scherm?
Gebruik van het scherm gaat allround zijn, dus internet, films, muziek, games..
Alvast bedankt!
Gamertag: I Darks I PSN: Sgt_Darks
Het grootste voordeel van 2560x1440 is echter met office werkzaamheden / browsen. Websites en documenten zijn vrijwel altijd verticaal georiënteerd, daar komt die extra hoogte dan erg goed van pas. Daarnaast is de breedte ook veel fijner. Met 1920 pixels in de breedte heb je veel te veel ruimte als je maar één ding weergeeft, maar twee dingen naast elkaar is weer erg krap. Met 2560 pixels in de breedte werkt het daarentegen perfect! Ik heb zelf 2x 2560x1440 staan en dat werkt echt heerlijk. Ook met grote Excel-worksheets is het heerlijk werken. Bij m'n vorige werk had ik maar 2x 1680x1050 en daar werd ik af en toe helemaal gek als ik met grote Excel-worksheets werkte. Het was dan ook een behoorlijke vooruitgang toen ik het voor elkaar had gekregen dat ik ook af en toe thuis kon werken.
Verwijderd
Ik heb dat helaas ook met mijn Samsung monitor. Het zit wel binnen de garantie regulaties van de monitor, echter kon je je er ook aan storen. Als het mogelijk is zou ik hem (eventueel in overleg met de webwinkel) gewoon terug sturen.Verwijderd schreef op donderdag 01 januari 2015 @ 01:32:
Ik kom er net achter dat een pixel op een zwarte achtergrond rood blijft. Is dit nog te verhelpen of kan ik het beter terugsturen nu ik nog binnen mijn bezichtigingstermijn zit.
Verwijderd
Dat ding heeft me veel geld gekost. Ik erger me nu al aan de gedachte dat ik weet waar de vaste pixel zit. Deze gaat idd terug. Waar ik echt een hekel aan heb is de loterij van panelen. Gemiddeld moet ik er 4 kopen voordat ik een exemplaar te pakken heb zonder dode of vaste pixels of lightbleeding. Helaas fluctueert de prijs van deze monitor erg. Is nu weer 5 euro duurder dan wat ik ervoor betaald heb.Frozen schreef op donderdag 01 januari 2015 @ 01:51:
[...]
Ik heb dat helaas ook met mijn Samsung monitor. Het zit wel binnen de garantie regulaties van de monitor, echter kon je je er ook aan storen. Als het mogelijk is zou ik hem (eventueel in overleg met de webwinkel) gewoon terug sturen.
[ Voor 12% gewijzigd door Verwijderd op 01-01-2015 02:15 ]
Bedankt voor je info ik had daar inderdaad al gelezen dat ze gelijk zijn.BackSlash schreef op dinsdag 30 december 2014 @ 16:40:
[...]
Dat klopt dus niet, met één (mini) displayport 1.2 uitgang kan je al een 4k display op 60 Hz aansturen.
De 2715K zelf heeft ook twee 1.2 poorten aan boord, oftewel displayport 1.3 is geen vereiste.
Wat je nodig hebt is 1 videokaart met twee 1.2 (mini) displayport uitgangen + een Dual DP cable. That's it.
Ik raad je aan om je info van http://www.displayport.org/ te halen, zij zullen het echt moeten weten
Maar zoals altijd met standaarden word er vaak niet 100% aangehouden zoals ik in mijn vorige post al een voorbeeld van gaf.
Hier rechtstreeks van NVIDIA en HP
Staat vrij duidelijk displayport mini 1.2 en max resolutie 2560x1600.
Confirmatie gehad dat het zo is en geen tik fout.
Ik ga nu een Radeon R7 250 Eyefinity 4 halen. Hier hoop ik dan 1x dell 2715K op aan te sluiten en als de prijs een jaar later zakt een 2de naast te zetten. Heb conformatie gehad via de leverancier dat de mini display porten 4K @ 60Hz zijn.
Ik ben altijd graag zeker van dat alles werkt voordat ik bestel en hou er niet van alles terug te sturen en uren bezig zijn met probleem uitzoeken.
[ Voor 9% gewijzigd door stunter op 01-01-2015 14:27 ]
Hmm, misschien komt het dan door de beperkte bandbreedte van die kaart dat hij hooguit 2560x1600 trekt. Ik lees dat die Nvidia kaart slechts een 64 bits geheugenbus heeft met 512 mb DDR3 ram. Niet echt ruim bemeten...stunter schreef op donderdag 01 januari 2015 @ 14:23:
[...]
Bedankt voor je info ik had daar inderdaad al gelezen dat ze gelijk zijn.
Maar zoals altijd met standaarden word er vaak niet 100% aangehouden zoals ik in mijn vorige post al een voorbeeld van gaf.
Hier rechtstreeks van NVIDIA en HP
Staat vrij duidelijk displayport mini 1.2 en max resolutie 2560x1600.
Confirmatie gehad dat het zo is en geen tik fout.
Ik ga nu een Radeon R7 250 Eyefinity 4 halen. Hier hoop ik dan 1x dell 2715K op aan te sluiten en als de prijs een jaar later zakt een 2de naast te zetten. Heb conformatie gehad via de leverancier dat de mini display porten 4K @ 60Hz zijn.
Ik ben altijd graag zeker van dat alles werkt voordat ik bestel en hou er niet van alles terug te sturen en uren bezig zijn met probleem uitzoeken.
Die Amd heeft een 128 bits geheugenbus met 2 gb gddr5, dat is hele andere koek.
Wellicht dat displayport 1.2 an sich dan wel 4k @ 60 Hz ondersteund, maar dat de videokaart dit zelf ook nog moet ondersteunen / kunnen leveren. De low end kaarten kunnen dit blijkbaar niet.
iMac Retina 5K 27” 2020 / i7 / 64GB / Radeon X5700 XT 16GB / 1TB SSD || Macbook Air 2020 M1 / 16GB / 1TB SSD || Synology DS415+ / 8GB / 48TB || iPhone 13 Mini 256GB
Ik speel van alles wel wat. van shooters tot mmo's tot RTS
Klinkt als een foute gammawaarde. Maar dat is lastig aan te passen, aangezien de Dell UltraSharp schermen daar niet echt een instelling voor hebben, behalve dan Mac of PC, wat neer komt op gamma 1,8 of 2,2.Rafael schreef op vrijdag 02 januari 2015 @ 17:18:
M'n vorige monitor geruild door een defect (U2412M), maar de nieuwe heeft precies wat moeite met de kleuren. Alle kleuren zijn te fel maar toch is alles donkerder, terwijl de instellingen in de monitor hetzelfde staan als in de vorige. Heb al wat geprobeerd met de helderheid/contrast, met de kleureninstellingen ook, maar ik kom er niet uit. Foto's / afbeeldingen worden niet correct weergeven. Mensen die dit min of meer herkennen? De vorige monitor had bouwjaar 2013, deze halfweg 2014. Met de Windows kleurinstellingen of calibratie heb ik niet geprutst, dat staat nog hetzelfde. Lijkt me toch ook dat ik hier in principe niet aan de slag moet en de monitor toch min of meer correct moet zijn af fabriek? (Ik moet geen perfecte/realistische kleurweergave zoals sommige fotografen nodig hebben)
- geen dode/hot (sub)pixels gevonden
- geen backlight bleeding die me zou storen (brightness op 30%)
- touchknoppen zijn irritant
- heb de schermen daisychained aangesloten: pc (IGP 4600) DP -> miniDP op monitor 1, dan DP-out naar miniDP op monitor 2. Dat werkt prima, wel in menu even op z'n minst monitor 1 op DP1.2 instellen.
- De witte powerleds (niet heel hinderlijk) kunnen in het menu ook uitgezet (alleen bij standbymode gaan ze dan weer heel langzaam knipperend aan)
Enige klacht betreft niet Dell, maar Displayport onder Windows 7: als je een monitor uitzet wordt hij verwijderd net als wanneer je een USB-stick uit je pc trekt: alle windows worden naar het andere scherm geschoven.
Beste is dus om schermen pas af te zetten nadat je je pc afzet... Al ben ik langzaamaan geneigd om de schermen gewoon aan te laten staan, zoveel stroom trekken ze niet meer in standby.
Weet iemand daar een softwareoplossing voor wellicht? Als je schermen via DVI aansluit kun je ze gewoon uitzetten zonder dat ze uit je display layout verdwijnen, maar via DP zijn ze weg bij uitzetten. En DVI is bij hogere resoluties geen optie meer.
If you're Mappy and you know it clap your hands *clap clap* - Stem voor betere forum-updates!
Dus dat wordt opnieuw een ander vragen bij Dell? Frappante is dat dit al de 2de vervanger is op een week tijd, de vorige vervanger had het nog erger en kon ik zonder problemen ruilen. Vreemd, want de vervangschermen die ze opsturen zijn refurbished (denk ik), dus ik zou denken dat deze toch zeker goed zijn?Kid Jansen schreef op vrijdag 02 januari 2015 @ 22:17:
[...]
Klinkt als een foute gammawaarde. Maar dat is lastig aan te passen, aangezien de Dell UltraSharp schermen daar niet echt een instelling voor hebben, behalve dan Mac of PC, wat neer komt op gamma 1,8 of 2,2.
Hierbij ook een afbeelding met foto's, niet handig om foto's van een beeldscherm te maken, maar het is toch duidelijk vind ik zelf. Links is de U2412M, rechts is het originele laptop scherm.
Heeft hij er ook last van in de fabrieksgekalibreerde modi? Want een foute gammawaarde is gewoon een kwestie van kalibreren. Als je een colorimeter hebt kan je het dus ook zo zelf aanpassen.Rafael schreef op zaterdag 03 januari 2015 @ 11:30:
Dus dat wordt opnieuw een ander vragen bij Dell?
Een laptop is nou niet bepaald het beste vergelijkingsmateriaal. In laptops zitten vrijwel altijd waardeloze schermen die ook nog eens totaal niet afgesteld zijn. Het is niet vreemd om een laptopscherm te hebben met een kleurtemperatuur van 7500K, een kleurbereik van maar 60% NTSC met <85% sRGB dekking en een compleet foute gammacurve. Weet je zeker dat het niet gewoon het laptopscherm is dat het bij het foute eind heeft en dat je daardoor gewend bent aan een fout beeld?Hierbij ook een afbeelding met foto's, niet handig om foto's van een beeldscherm te maken, maar het is toch duidelijk vind ik zelf. Links is de U2412M, rechts is het originele laptop scherm.
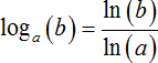
Zou je anders eens het kalibratierapport van je scherm er bij kunnen pakken en bij de gammagrafiek de waarde voor 50% grijs (8-bit grijswaarde 127) en 100% grijs (oftewel wit, 8-bit grijswaarde 255) aflezen.
De gammawaarde wordt vervolgens verkregen door:

Waarbij L de helderheid is (luminance) in cd/m² en het grondtal van het logaritme de decimale waarde van de grijswaarde is.
Voor m'n U2711 is het bijvoorbeeld:

Net zoals bij m'n U2711 zou er ook bij jou een waarde uit moeten komen van 2,2 (met inachtneming van significante cijfers). Als het scherm daadwerkelijk fout is afgesteld zou daar een iets hogere waarde uit moeten komen. Een gammawaarde van 2,4 zou al hoog genoeg zijn om het probleem te verklaren.
Het invoeren van een log op een rekenmachine of in bijvoorbeeld een programma als Excel doe je overigens als volgt:

In plaats van ln (= natuurlijk logaritme) kan je natuurlijk ook log (= log10) gebruiken.
Hmm lastig te zeggen afgaand op de foto.. Weet je zeker dat het niks met kleurprofielen heeft te maken in Windows? Je zegt dat daar niks aan is veranderd, maar heb je ooit wel een kleurprofiel gewijzigd? Zijn allemaal factoren die meespelen.. Sluit hem eens op een ander apparaat aan als dat kan?Rafael schreef op zaterdag 03 januari 2015 @ 11:30:
[...]
Dus dat wordt opnieuw een ander vragen bij Dell? Frappante is dat dit al de 2de vervanger is op een week tijd, de vorige vervanger had het nog erger en kon ik zonder problemen ruilen. Vreemd, want de vervangschermen die ze opsturen zijn refurbished (denk ik), dus ik zou denken dat deze toch zeker goed zijn?
Hierbij ook een afbeelding met foto's, niet handig om foto's van een beeldscherm te maken, maar het is toch duidelijk vind ik zelf. Links is de U2412M, rechts is het originele laptop scherm.
Check eens http://www.lagom.nl/lcd-test/ kijk wat je gamma enz is daar
Verder wat Kid boven mij zegt
[ Voor 6% gewijzigd door Saven op 03-01-2015 14:25 ]
Wanneer het scherm volledig gereset is naar fabrieksinstellingen is het ook ja. Ik heb alle mogelijke instellingen via de OSD al eens gereset ("Reset color settings", "Reset Display Settings", "Factory reset"), maar het blijft. Brightness is de enige die ik gewijzigd heb, deze staat nu op 25, contrast nog altijd op 75. Standaard staan deze op 75/75, bij m'n vorige stonden deze op 20/70. Een colorimeter heb ik jammer genoeg niet.Kid Jansen schreef op zaterdag 03 januari 2015 @ 14:09:
Heeft hij er ook last van in de fabrieksgekalibreerde modi? Want een foute gammawaarde is gewoon een kwestie van kalibreren. Als je een colorimeter hebt kan je het dus ook zo zelf aanpassen.
De preset mode staat op 'Standard' momenteel, mijn opvatting van de andere modi (zonder de extra instellingen zoals Hue en Saturation aan te passen - en voor wat het waard is):
- Multimedia: blauw wordt te fel
- Movie: heel het beeld krijgt een blauwe waas
- Game: zelfde als 'Standard', alleen veel feller
- Text: lijkt mij hetzelfde als 'Standard'
- Color temp & custom ben ik uitgebleven
Ik kan visueel vergelijken met volgende schermen:Kid Jansen schreef op zaterdag 03 januari 2015 @ 14:09:
Een laptop is nou niet bepaald het beste vergelijkingsmateriaal. In laptops zitten vrijwel altijd waardeloze schermen die ook nog eens totaal niet afgesteld zijn. Het is niet vreemd om een laptopscherm te hebben met een kleurtemperatuur van 7500K, een kleurbereik van maar 60% NTSC met <85% sRGB dekking en een compleet foute gammacurve. Weet je zeker dat het niet gewoon het laptopscherm is dat het bij het foute eind heeft en dat je daardoor gewend bent aan een fout beeld?
- Laptop scherm Dell XPS 17 (de laptop die het scherm normaal aanstuurt)
- Laptop scherm Dell Inspiron 15
- Samsung S23C650K
- Acer P246HAbd
Al die schermen geven (voor mij) visueel hetzelfde beeld als ik bvb op allen dezelfde foto's open, wat ook overeenkwam met mijn vorige U2412M. Ik kon mijn laptop scherm ook redelijk gebruiken naast mijn vorige, maar nu is er een heel groot verschil. De 2 losse bovenstaande schermen waren ook niet de duurste, dus ik weet ook niet hoe correct die zijn.
Ik vermoed dat ik zoiets niet kan vinden zonder colorimeter? Of kan dat wel ergens gevonden worden? Lijkt me wel heel interessant als we daar mee kunnen bepalen wat correct is.Kid Jansen schreef op zaterdag 03 januari 2015 @ 14:09:
Zou je anders eens het kalibratierapport van je scherm er bij kunnen pakken en bij de gammagrafiek de waarde voor 50% grijs (8-bit grijswaarde 127) en 100% grijs (oftewel wit, 8-bit grijswaarde 255) aflezen.
Ik heb nooit aan de kleurinstellingen van Windows gezeten, maar voor de zekerheid heb ik gisteren Windows nog opnieuw geïnstalleerd zonder resultaat.Saven schreef op zaterdag 03 januari 2015 @ 14:24:
Hmm lastig te zeggen afgaand op de foto.. Weet je zeker dat het niks met kleurprofielen heeft te maken in Windows? Je zegt dat daar niks aan is veranderd, maar heb je ooit wel een kleurprofiel gewijzigd? Zijn allemaal factoren die meespelen.. Sluit hem eens op een ander apparaat aan als dat kan?
Gisteren ook getest met een laptop Dell Inspiron 15, aangesloten op de VGA poort, exact dezelfde foto opengezet op die laptop en op mijne, met 3 personen naar het scherm staren en daarna overschakelen op mijn laptop (die op de displayport hangt), maar niemand van ons 3 zag een verschil op de monitor. De foto leek voor ons identiek, ongeacht welke laptop het scherm aanstuurde.
Als ik op http://www.lagom.nl/lcd-test/nl_gamma_calibration.php kijk en ik neem circa 1.5-2 meter afstand van de monitor, kan ik de lijnen niet meer onderscheiden bij:Saven schreef op zaterdag 03 januari 2015 @ 14:24:
Check eens http://www.lagom.nl/lcd-test/ kijk wat je gamma enz is daarNiet 100% betrouwbaar maar wel een indicatie.
48%: overal perfect de lijnen te zien
25%: 2.7 tot 2.8
10%: 2.3 tot 2.4
Van dichterbij zie ik overal nog perfect de lijnen, in alle 3 de tests.
Dezelfde test op mijn laptopscherm:
48%: 1.9 tot 2.0
25%: 1.8 tot 1.9
10%: 1.8 tot 1.9
Dezelfde test op het scherm van de Dell Inspiron 15:
48%: 2.0 tot 2.1
25%: 1.9 tot 2.0
10%: 2.0 tot 2.1
Edit: bovenstaande test ook door 3 andere personen laten doen, kwamen ongeveer hetzelfde uit als ik.
Ik zit niet op te letten. Ik zat met de U2414H in m'n hoofd, die heeft wel een fabriekskalibratie, de U2412M niet. Dan krijg je er vanzelfsprekend ook geen kalibratierapport bij. Zelf meten met een colorimeter is dan inderdaad de enige optie als je het op deze manier wilt doen. Maar je bevindingen van de Lagom gamma test zeggen al genoeg. Die gammacurve wijkt zo sterk af dat je dat ook vrijwel niet goed kan corrigeren door zelf het scherm te kalibreren.Rafael schreef op zaterdag 03 januari 2015 @ 14:53:
Ik vermoed dat ik zoiets niet kan vinden zonder colorimeter? Of kan dat wel ergens gevonden worden? Lijkt me wel heel interessant als we daar mee kunnen bepalen wat correct is.
Wel vreemd dat ik 2x na elkaar een scherm krijg met die fout. Vond Dell ook, ze gaan eerst bekijken of ze een scherm uit een andere batch kunnen sturen of een andere oplossing bedenken: ze vermoeden dat als ze nu gewoon een 3de sturen dat die dat probleem ook zal hebben.Kid Jansen schreef op zaterdag 03 januari 2015 @ 15:09:
Ik zit niet op te letten. Ik zat met de U2414H in m'n hoofd, die heeft wel een fabriekskalibratie, de U2412M niet. Dan krijg je er vanzelfsprekend ook geen kalibratierapport bij. Zelf meten met een colorimeter is dan inderdaad de enige optie als je het op deze manier wilt doen. Maar je bevindingen van de Lagom gamma test zeggen al genoeg. Die gammacurve wijkt zo sterk af dat je dat ook vrijwel niet goed kan corrigeren door zelf het scherm te kalibreren.
Verwijderd
Lijkt wel een echt tweakersprobleem te zijn die dode pixels. Staan hier op het werk misschien wel 200 Dell schermen en heb er nog geen enkele gezien met dode pixels. (zonder extreem te gaan pixelpeepen in de hoeken ofzo...)Verwijderd schreef op maandag 05 januari 2015 @ 18:40:
Benieuwd krijg morgen een nieuwe Dell U2414h binnen. Mocht ook deze een dode of vaste pixel hebben dan kies ik voor een ander merk.
Werk nu al zo lang met LCD (vele verschillende types) en heb eigenlijk nog maar 1x ooit dode pixels gezien. Heb ik dan gewoon geluk?
M'n gameboy uit de jaren 90 heeft wel dode pixels nu
Verwijderd
Heeft dit exemplaar 0 dode pixels 0 vaste pixels en geen last van backlightbleeding. Deze houd ik dus
[ Voor 28% gewijzigd door Verwijderd op 06-01-2015 18:08 ]
Verwijderd
[ Voor 4% gewijzigd door Verwijderd op 06-01-2015 18:38 ]
Op dode (sub)pixels, dus op wit scherm andere kleur dan wit, is alleen de ISO 9241-307:2008 norm van toepassing en dat gaat per miljoen pixels (dus op hogere resolutie schermen mogen veel meer pixeldefecten zitten). Een U2715H zou je pas vanaf 8 volledig dode pixels om mogen ruilen. Dode subpixels nog veel meer.
Is er een alternatief in de Dell-stal? Of toch maar naar een ander kijken?
[ Voor 19% gewijzigd door Room42 op 07-01-2015 02:40 ]
"Technological advancements don't feel fun anymore because of the motivations behind so many of them." Bron
"wet over kopen op afstand" zo heb ik het gedaan, had 1 dode pixel.Hiawathay schreef op dinsdag 06 januari 2015 @ 17:28:
Ik heb de U2715H besteld. Hoe zouden jullie het aanpakken als er dode pixels op zitten? Een beroep doen op de garantie of gewoon terugsturen op basis van de wet over kopen op afstand?
Alleen jammer dat de meeste u2715h's out of stock zijn overal, of je moet een serieuze meerprijs willen betalen. Maar goed, maandje wachten dan maar
Sorki#2242
Bijzonder dat SuperMHL met 6 lanes nu al tot 8K @ 120 Hz @ 36 bpp in YCbCr 4:2:0 komt. Dat zou beteken dat de bandbreedte drie keer zo hoog is als die van DisplayPort 1.3 en al halverwege de max van Rec. 2020 (zelfde in RGB of in YCbCr 4:4:4 modus).Kid Jansen schreef op dinsdag 30 december 2014 @ 15:36:
Zelfs DisplayPort 1.3 kan nog lang geen 8K in RGB mode of in YCbCr 4:4:4 subsampling mode weergeven. Hoogste wat kan is 4:2:0 subsampling. Voorlopig zitten 8K computerbeeldschermen er dus nog niet in, daar moet de bandbreedte van DP 1.3 nog een keer voor verdubbelen, of je moet 2x DP 1.3 gebruiken.
Voor het maximale van Rec. 2020 heb je zelfs 6x de bandbreedte van DP 1.3 nodig. Dat is 8K @ 120 Hz @ 36 bpp (=12 bits kleurdiepte per kanaal) in RGB of YCbCr 4:4:4.
De gamma test van hier geeft nu:
48%: 1.8 tot 1.9
25%: 1.9 tot 2.0
10%: 2.0 tot 2.1
Volgens MonInfo wel al 1513u op de teller, hopelijk kunnen er nog een paar duizend bij
[ Voor 9% gewijzigd door Rafael op 07-01-2015 16:58 ]
[ Voor 6% gewijzigd door Rafael op 07-01-2015 18:06 ]
Ik heb er 1 van marktplaats gehaald, maar die was blijkbaar defect... Ik denk dat ik voor mijn review nu maar resultaten die ik zelf heb ga vergelijken met die van tftcentral (Als dat mag van simon).Rafael schreef op woensdag 07 januari 2015 @ 18:05:
De kleuren zijn wat flauw nu, maar ik weet niet wat ik er mee moet. Kalibratietoestelletje kost blijkbaar rond de € 100 (snel gekeken bij Coolblue), heb ik er niet zo direct voor over. In Windows zelf liggen prutsen doe ik heel eerlijk ook liever niet. Maar kan ook moeilijk blijven zeuren bij Dell dat het weer niet goed is. Beetje in dubio momenteel, het is niet het goedkoopste scherm en ze doen niet moeilijk over wisselen, maar ik ben toch wat teleurgesteld in de kwaliteit.
[ Voor 8% gewijzigd door Frozen op 07-01-2015 18:42 ]
Verwijderd
[ Voor 46% gewijzigd door Verwijderd op 07-01-2015 22:46 ]
De kleuren zijn gewoon flauw doordat de gammawaarde lager is dan verwacht, waardoor alle middentonen te helder worden weergegeven en daardoor contrast en verzadiging lijken te missen.
Zie mijn post van gisteren:Saven schreef op woensdag 07 januari 2015 @ 23:40:
Doe nu eens die gammatest en contrast test dan op die ene website. Maar "flauw" is niet echt heel duidelijk
Contrast test lijkt me OK, heel misschien dat rood en blauw net ietsje later beginnen maar dat is een twijfelgeval.Rafael schreef op woensdag 07 januari 2015 @ 16:50:
Na het kleurenprobleem opnieuw een andere monitor gehad. Ik wist niet dat er ooit zilveren U2412M's gemaakt waren, tot nu. Wereld van verschil weer, helder beeld en mijn instellingen staan weer op brightness 20 en contrast 75 zoals vroeger. Scherm komt blijkbaar uit een oudere stock, bouwdatum januari 2013. Wel opmerkelijk dat de schermen van 2014 (februari 2014 & mei 2014) die ik ontvangen had beide met een probleem zaten.
De gamma test van hier geeft nu:
48%: 1.8 tot 1.9
25%: 1.9 tot 2.0
10%: 2.0 tot 2.1
Volgens MonInfo wel al 1513u op de teller, hopelijk kunnen er nog een paar duizend bij
[ Voor 19% gewijzigd door Saven op 08-01-2015 16:51 ]
De medewerker vreest dat alle nieuwe schermen het gamma (te hoog) probleem hebben, daarom heb ik deze keer eentje uit een oude batch gekregen. Hoe meer ik er op moet kijken, hoe meer ik toch weer neig om nog eens terug te bellen; ook al zeiden ze dat ze geen andere opties meer hadden...Saven schreef op donderdag 08 januari 2015 @ 16:51:
ah sorry wist niet dat het over het scherm ging van "De kleuren zijn wat flauw nu,"dacht dat je die uit een nieuwe batch had
Tja.. WKOA dan en een andere monitor?Rafael schreef op donderdag 08 januari 2015 @ 16:56:
[...]
De medewerker vreest dat alle nieuwe schermen het gamma (te hoog) probleem hebben, daarom heb ik deze keer eentje uit een oude batch gekregen. Hoe meer ik er op moet kijken, hoe meer ik toch weer neig om nog eens terug te bellen; ook al zeiden ze dat ze geen andere opties meer hadden...
Gaat niet lukken, gaat hier om een garantieafhandelingSaven schreef op donderdag 08 januari 2015 @ 16:57:
Tja.. WKOA dan en een andere monitor?
@Achillias: heb alle profielen al geprobeerd, ook de handmatige waarbij RGB alle 3 op 100 staan, wijzigt er niets aan zoals Kid Jansen voorspelde.
En zoals ik al heel vaak op dit forum heb gezegd, na een paar maanden maakt het toch geen zak meer uit, want dan moet je hoe dan ook kalibreren. De fabriekskalibratie is dan namelijk helemaal niks meer waard, vanwege drift (slijtage van de backlight).
Verwijderd
Kid Jansen in "[TFT] Dell UltraSharp Serie - Deel 19"
Kid Jansen in "[TFT] Dell UltraSharp Serie - Deel 19"
Je kan beter ergens LCD Cleaner halen, maar vaak werkt een microvezeldoek op zich ook al prima (dus zonder water of schoonmaakmiddelen).
www.maartendeboer.net
1D X | 5Ds | Zeiss Milvus 25, 50, 85 f/1.4 | Zeiss Otus 55 f/1.4 | Canon 200 f/1.8 | Canon 200 f/2 | Canon 300 f/2.8
Verwijderd
De zwartwaarden en het contrast probleem heb ik opgelost door een tool te downloaden die de rgb op full zet. Maar dan nog blijft de HDMI naam hdtv zijn.Ventieldopje schreef op zaterdag 10 januari 2015 @ 00:09:
Klopt en is een bekend probleem, ook je zwart waarden worden dan aangepast. Wel iets om op te lossen iig!
www.maartendeboer.net
1D X | 5Ds | Zeiss Milvus 25, 50, 85 f/1.4 | Zeiss Otus 55 f/1.4 | Canon 200 f/1.8 | Canon 200 f/2 | Canon 300 f/2.8
Heb je er zonder fix geen last van? Dan zou je moeten kijken of die wel goed staat. Verder heeft dat probleem alleen te maken met de zwartwaarden en niks met scherpte.
www.maartendeboer.net
1D X | 5Ds | Zeiss Milvus 25, 50, 85 f/1.4 | Zeiss Otus 55 f/1.4 | Canon 200 f/1.8 | Canon 200 f/2 | Canon 300 f/2.8
Daarvoor moet je even controleren op overscan / underscan. Als een videokaart een scherm herkend als HDTV over HDMI wil het nog wel eens zo zijn dat je dan overscan hebt. Dat kan heel erg lelijke interpolatie-artifacts geven. Maar als dat het geval zou zijn zou je het wel gemerkt hebben.Verwijderd schreef op zaterdag 10 januari 2015 @ 01:47:
Het heeft dus niets met de scherpte van teksten te maken?
Als ik een dell soundbar aansluit op de monitor, krijg ik dan wel geluid van de wd tv live? Iemand een idee?
www.maartendeboer.net
1D X | 5Ds | Zeiss Milvus 25, 50, 85 f/1.4 | Zeiss Otus 55 f/1.4 | Canon 200 f/1.8 | Canon 200 f/2 | Canon 300 f/2.8
Verwijderd
[ Voor 5% gewijzigd door Verwijderd op 11-01-2015 13:04 ]
Bij veel zwart zie je het goed, kan er wel mee leven maar nu ik het weet let ik er wel meer op.. al bij al blijft het een hele mooie momitor.
Had nog de twijfels bij een gaming monitor met TN paneel maar vind IPS zo mooi en 60hz of 60fps is genoeg voor mij.
Twee dingen die er wat mij betreft meteen uitspringen, in negatieve zin, zijn het contrast en de uniformiteit:
Het contrast valt nogal tegen met 909:1 gemiddeld uit de doos en 856:1 na kalibratie (overigens beide vrijwel hetzelfde als de U2713HM, dus niet echt een verrassing).
En de uniformiteit is extreem slecht, zo slecht zelfs dat het scherm eigenlijk niet door de kwaliteitscontrole had mogen komen (minimum is 71% van maximum en dat moet minimaal 75% zijn).
Reactietijden zijn ook matig, met een gemiddelde van 9,9 ms per overgang in de uitgebreide test. Zelfs op 60 Hz voldoet dat dus niet aan een gemiddelde reactietijd lager dan de helft van de frametijd (< 8,3 ms).
De inputlag is overigens wel een stuk lager dan op de U2713HM.
De review is weer erg volledig. Het design van het scherm vind ik prachtig, ik zou zo mijn 2713HM ervoor inruilen. In het kort is het dus: De lag is lager, kleuren zijn stock beter en de bezels zijn dunner. Echter is er nog wel iets waarvan ik denk, "wat bedoelt hij nou?".Kid Jansen schreef op donderdag 15 januari 2015 @ 13:47:
Simon heeft vanochtend z'n review van de U2715H online gezet: http://www.tftcentral.co.uk/reviews/dell_u2715h.htm
Twee dingen die er wat mij betreft meteen uitspringen, in negatieve zin, zijn het contrast en de uniformiteit:
Het contrast valt nogal tegen met 909:1 gemiddeld uit de doos en 856:1 na kalibratie (overigens beide vrijwel hetzelfde als de U2713HM, dus niet echt een verrassing).
En de uniformiteit is extreem slecht, zo slecht zelfs dat het scherm eigenlijk niet door de kwaliteitscontrole had mogen komen (minimum is 71% van maximum en dat moet minimaal 75% zijn).
Reactietijden zijn ook matig, met een gemiddelde van 9,9 ms per overgang in de uitgebreide test. Zelfs op 60 Hz voldoet dat dus niet aan een gemiddelde reactietijd lager dan de helft van de frametijd (< 8,3 ms).
De inputlag is overigens wel een stuk lager dan op de U2713HM.
Is nou een upgrade waard, of niet? De "we don't think" lijkt m.b.t. het voorgaande een dubbele ontkenning.If you already have a U2713HM then there isn't enough different or improved here to warrant an upgrade we don't think.
[ Voor 3% gewijzigd door Frozen op 15-01-2015 15:14 ]
Het is het niet waard om te upgraden als je nu een U2713HM hebt, maar de verwoording is een beetje vreemd. Zal hem wel even mailen over dat zinnetje.Frozen schreef op donderdag 15 januari 2015 @ 15:08:
Is nou een upgrade waard, of niet? De "we don't think" lijkt m.b.t. het voorgaande een dubbele ontkenning.
Ik ben van plan om begin februari ook de Dell U2414H aan te schaffen, icm met een GTX970 en de i5-4460.elsympatico schreef op zondag 11 januari 2015 @ 12:17:
Ik ben ook heel content van IPS .Ik heb een dell 2414h met IPS paneel en speel heel veel shooters BF4 etc.Ik merk echt geen last van ghosting.
Met wat voor hardware speel jij op dit scherm? (Hoeveel FPS enzo)
Aangezien het maar een 60Hz paneel is.
(Kan natuurlijk wel cappen op 60FPS)
R7 5800x | GTX970 | 16GB RAM
8Gb low profile ram corsair vengeance
Ssd crucial MX 100 256gig
Videokaart Amd 7950 3gb
Ik speel veel BF3 en Voornamelijk BF 4 ik draai alles op ultra @ Full Hd en heb tussen 80FPS en 120FPS
In BF3 weet ik niet hoeveel FPS juist maar meer dan in BF4 Duh lol
[ Voor 18% gewijzigd door elsympatico op 16-01-2015 14:21 ]
Verwijderd
Verwijderd
| # | Product | Prijs | Subtotaal |
| 1 | Intel Core i5-4460 Boxed | € 167,- | € 167,- |
| 1 | ASRock B85M Pro4 | € 59,95 | € 59,95 |
| 1 | Zotac GeForce GTX 970 4GB | € 326,49 | € 326,49 |
| 1 | Seagate Desktop HDD ST1000DM003, 1TB | € 47,95 | € 47,95 |
| 1 | BitFenix Pandora Core Zilver | € 91,50 | € 91,50 |
| 1 | Dell Ultrasharp U2414H (860-BBCW) Zilver, Zwart | € 207,95 | € 207,95 |
| 1 | Arctic Cooling Freezer 13 | € 25,- | € 25,- |
| 1 | Crucial Ballistix Tactical BLT2C4G3D1608ET3LX0CEU | € 66,95 | € 66,95 |
| 1 | Seasonic M12II Evo 520W | € 59,90 | € 59,90 |
| 1 | Crucial MX100 256GB | € 95,- | € 95,- |
| Bekijk collectie Importeer producten | Totaal | € 1.147,69 | |
Overigens is het vrij onzinnig om meer dan 60fps te gebruiken. Als de monitor max 60fps aankan.
[ Voor 10% gewijzigd door Verwijderd op 16-01-2015 15:12 ]
standardNL schreef op vrijdag 16 januari 2015 @ 10:59:
[...]
Ik ben van plan om begin februari ook de Dell U2414H aan te schaffen, icm met een GTX970 en de i5-4460.
Met wat voor hardware speel jij op dit scherm? (Hoeveel FPS enzo)
Aangezien het maar een 60Hz paneel is.
(Kan natuurlijk wel cappen op 60FPS)
Gamers... *zucht* een 60hz paneel kan maar 60fps weergeven, sneller wordt het beeld niet volledig ververst. Je kunt wel meer fps halen (v-sync uitzetten) maar zoals de naam al een beetje doet vermoeden wordt er dan niet gegarandeerd dat het volledige beeld opgebouwd wordt, je krijgt dus tearing. Daarbij is een deel van het beeld dus al een aantal frames verder dan de rest van het beeld en krijg je een verschuiving wat je vooral ziet bij bewegende beelden.elsympatico schreef op vrijdag 16 januari 2015 @ 14:19:
Ik heb een Intel 4690K cpu (voor de moment stock speeds)
8Gb low profile ram corsair vengeance
Ssd crucial MX 100 256gig
Videokaart Amd 7950 3gb
Ik speel veel BF3 en Voornamelijk BF 4 ik draai alles op ultra @ Full Hd en heb tussen 80FPS en 120FPS
In BF3 weet ik niet hoeveel FPS juist maar meer dan in BF4 Duh lol
Veel gamers klagen over trage response tijden van IPS schermen en de max van 60hz. Je kunt in die prijsklasse denk ik beter kijken naar schermen die meer geschikt zijn voor gaming en een lage response tijd hebben en een hoge frequentie (120hz of meer), al heb je er niks aan als je geen 120fps ook daadwerkelijk haalt continu.
V-sync zorgt er namelijk voor dat de fps gecapped wordt op een framerate die garandeerd dat het volledige beeld opgebouwd kan worden in één cycle. Haal je dus geen 120fps maar bijv. 110 dan schakelt hij terug naar de iets tragere framerate waarbij het volledige beeld opgebouwd kan worden, dat zou zomaar 60fps kunnen zijn. Op 60hz beeldschermen is dat 30fps weet ik uit ervaring, een flinke achteruitgang al betwijfel ik of het verschil merkbaar is als je drops van 120fps naar 60fps hebt.
www.maartendeboer.net
1D X | 5Ds | Zeiss Milvus 25, 50, 85 f/1.4 | Zeiss Otus 55 f/1.4 | Canon 200 f/1.8 | Canon 200 f/2 | Canon 300 f/2.8
Ik ga eerlijk zijn heb al veel monitors gehad met en daar zijn er 2 bij met TN van samsung en dan nog een dell 2407wfp hc met S-PVA monitor en nu dell 2414h met AH IPS en die dell schermen speelden evengoed als die TN panelen en ik speel pracktisch alle dagen,nog nooit geen last gehad.
Ik vind dat 120Hz panelen ,allemaal zwaar overoepen.
Ik blijf bij IPS of AMVA monitors of misschien iets anderes intressant PLS ofzo (doe ook photoshop)
Ik moet niks meer weten van TN panelen ,rommel.
En uw mening is uw mening .Ik zeg maar wat ik ondervind en het beste vind.
[ Voor 61% gewijzigd door elsympatico op 16-01-2015 18:53 ]
Voor mij ook nooit meer een brak TN paneel en als het aan mij ligt ook nooit meer een resolutie kleiner dan 2560x1440. Sterker nog, ik kijk er naar uit om over een paar jaar een wide-gamut 4K paneel te hebben!
www.maartendeboer.net
1D X | 5Ds | Zeiss Milvus 25, 50, 85 f/1.4 | Zeiss Otus 55 f/1.4 | Canon 200 f/1.8 | Canon 200 f/2 | Canon 300 f/2.8
Jup, dat zijn meestal de echte (hardcore) online gamers, de normale gamer zit bij 60hz goed vind ik. Vind de kleuren enz erg belangrijk en dan kom je niet onder IPS uit.Ventieldopje schreef op vrijdag 16 januari 2015 @ 19:37:
Ik vind het ook grote onzin hoor, ik geef alleen advies op basis van de eisen die gamers over het algemeen vaak hebben. Die geven geen hol om accurate kleuren maar staan op hun achterste poten wat betreft ghosting, micro stutter en input lag.
Voor mij ook nooit meer een brak TN paneel en als het aan mij ligt ook nooit meer een resolutie kleiner dan 2560x1440. Sterker nog, ik kijk er naar uit om over een paar jaar een wide-gamut 4K paneel te hebben!
Ik zelf zou wel een Dell willen met 2560x1440 maar kost toch +- 500 euro en een goede videokaart. Heb nu dus 1920x1200 met nog een GTX 770 2GB waar ik nog goed mee voorruit kan. Als ik een nieuwe kaart nodig heb komt er ook een 2560x1440 in huis.
Maar zoals zovele hierboven lijkt een 4k scherm me pas écht wat
Me eerste stap wordt een 4:3 1200p of 16:10 1050p scherm van rond de 20".
Daarna hopelijk een U2410 met 1200p, en als laatste opstapje naar 4k een 3008WFP met 1600p, tegen de tijd dat ik die 'zat' ben, zal 4k (wie weet, Oled?) uiteraard een stuk goedkoper zijn.
[ Voor 31% gewijzigd door GS88 op 17-01-2015 09:21 ]
Rotterdam
Groot gelijk.Ik had ook liever een 27 inch met 2560 x1440 reso gehad ,maar had toen er de centen niet voor.Ventieldopje schreef op vrijdag 16 januari 2015 @ 19:37:
Ik vind het ook grote onzin hoor, ik geef alleen advies op basis van de eisen die gamers over het algemeen vaak hebben. Die geven geen hol om accurate kleuren maar staan op hun achterste poten wat betreft ghosting, micro stutter en input lag.
Voor mij ook nooit meer een brak TN paneel en als het aan mij ligt ook nooit meer een resolutie kleiner dan 2560x1440. Sterker nog, ik kijk er naar uit om over een paar jaar een wide-gamut 4K paneel te hebben!
Ik ga nu nog nen hele tijd sparen en later ook 4K paneel in huis halen.(of toch minsten 27inch met ips panel)
Ik vind persoonlijk 23.8 inch beetje klein,maar voor de rest is die toppie.
Precies, eerder ook veel Call of Duty en Battlefield gedaan maar snap nog steeds dat hele gedoe er omheen niet. Van die mensen die zeuren dat ze microstutter hebben terwijl ze gewoon hard zuigenMeulendijks89 schreef op vrijdag 16 januari 2015 @ 19:55:
[...]
Jup, dat zijn meestal de echte (hardcore) online gamers, de normale gamer zit bij 60hz goed vind ik. Vind de kleuren enz erg belangrijk en dan kom je niet onder IPS uit.
Ik zelf zou wel een Dell willen met 2560x1440 maar kost toch +- 500 euro en een goede videokaart. Heb nu dus 1920x1200 met nog een GTX 770 2GB waar ik nog goed mee voorruit kan. Als ik een nieuwe kaart nodig heb komt er ook een 2560x1440 in huis.
www.maartendeboer.net
1D X | 5Ds | Zeiss Milvus 25, 50, 85 f/1.4 | Zeiss Otus 55 f/1.4 | Canon 200 f/1.8 | Canon 200 f/2 | Canon 300 f/2.8
Verwijderd
Dat zie je de laatste tijd toch wel veel hier, mensen die iets prima voor iedereen noemen omdat ze het zelf wel prima vinden.Ventieldopje schreef op vrijdag 16 januari 2015 @ 21:11:
Gamen op 60fps en een IPS paneel is niks mis mee
Hij spreekt over zichzelf wat hij prima vind voor zichzelf. Iedereen heeft zijn eigen mening.Verwijderd schreef op vrijdag 16 januari 2015 @ 21:18:
[...]
Dat zie je de laatste tijd toch wel veel hier, mensen die iets prima voor iedereen noemen omdat ze het zelf wel prima vinden.
Als je liever op 120 of 144hz speelt en je vind de kleuren en kijkhoeken niet zo belangrijk moet je een TN paneel kopen, wil je gamen op IPS met goede kleuren en kijkhoeken moet je op het moment genoegen nemen met 60hz. Zo simpel kan het zijn
De een vind 60hz genoeg de ander moet 144hz hebben en nog een andere ziet het verschil niet eens.
[ Voor 14% gewijzigd door DM89 op 16-01-2015 22:08 ]
Daarom mag ik het toch wel prima vinden? Ik dring toch ook niet iedereen een wide-gamut IPS paneel op met 10-bit aansturing via een Quadro en DisplayPort. Voor het overgrote deel van ons gewoon grote onzin om te hebben. Ik dring ook niet iedereen een Logitech spul aan of een Canon camera.Verwijderd schreef op vrijdag 16 januari 2015 @ 21:18:
[...]
Dat zie je de laatste tijd toch wel veel hier, mensen die iets prima voor iedereen noemen omdat ze het zelf wel prima vinden.
Dus omdat ik iets prima vind wil niet zeggen dat iedereen dat moet vinden. Ik geef hier duidelijk aan wat ik persoonlijk vind, daar lenzen mensen de laatste tijd vaak overheen, ook jij
www.maartendeboer.net
1D X | 5Ds | Zeiss Milvus 25, 50, 85 f/1.4 | Zeiss Otus 55 f/1.4 | Canon 200 f/1.8 | Canon 200 f/2 | Canon 300 f/2.8
Ik wil graag een nieuwe monitor kopen voor fotografisch gebruik, en de u2414h ziet er goed uit. Maar ik kan me geen voorstelling maken van het verschil in gamut.
IF IF = THEN THEN THEN = ELSE ELSE ELSE = IF;
Verwijderd
Als je het stukje dat ik van jou gequote heb goed leest is dat een algemeen statement, geen persoonlijkVentieldopje schreef op vrijdag 16 januari 2015 @ 22:01:
Dus omdat ik iets prima vind wil niet zeggen dat iedereen dat moet vinden. Ik geef hier duidelijk aan wat ik persoonlijk vind, daar lenzen mensen de laatste tijd vaak overheen, ook jij
Zo was het niet bedoeld maar ik deel ongetwijfeld de mening van veel anderen. Het was mijn persoonlijke mening, laten we dat voorop stellenVerwijderd schreef op vrijdag 16 januari 2015 @ 22:22:
[...]
Als je het stukje dat ik van jou gequote heb goed leest is dat een algemeen statement, geen persoonlijkDie hele post zelfs.
www.maartendeboer.net
1D X | 5Ds | Zeiss Milvus 25, 50, 85 f/1.4 | Zeiss Otus 55 f/1.4 | Canon 200 f/1.8 | Canon 200 f/2 | Canon 300 f/2.8
Dit topic is gesloten.
![]()
