Nintendo Network ID: Oo_Morris_oO | PSN: Oo_Morris_oO.
Edit: niet goed gelezsn.
Tijd voor een Schultje
[ Voor 89% gewijzigd door Darrell op 13-12-2024 16:20 ]
In dat geval mag je soms iets een plaatje posten van vrouwelijk schoon. En soms posten we een hunk voor @LadyS. Voor de rest, welkom!E-B schreef op vrijdag 13 december 2024 @ 16:16:
[...]
Dan moet ik je teleurstellen, vrees ik. Ik denk wanneer ik m'n moobs in een houdertje druk er misschien nog een bescheiden A-cup in zit, maar op alle alle andere vlakken ben en voel ik mij toch 100% man.
Welkom hier!E-B schreef op vrijdag 13 december 2024 @ 16:04:
[...]
Ik zit er met smart op te wachten!
Dit is m'n eerste post in 1 van de crypto topics. Zijn introducties nog gewenst of is het gewoon een kwestie van aanhaken en meegaan in de flow?
Stack Sats
Iets met tegelwijsheden die hier af en toe voorbij komen:tomtom901 schreef op vrijdag 13 december 2024 @ 16:19:
[...]
In dat geval mag je soms iets een plaatje posten van vrouwelijk schoon. En soms posten we een hunk voor @LadyS. Voor de rest, welkom!Koers spul doen we voornamelijk in het NK topic, dus als je wat over grafieken wil leren is dat de plek. Hier is eigenlijk voornamelijk onzin
:strip_exif()/f/image/Zu8flfAP0aUQoYxZ0XMSA39O.jpg?f=fotoalbum_large)
En voor @LadyS:
Sorry, staat die man nou op een begraafplaats leunend tegen een graftempel?reshi schreef op vrijdag 13 december 2024 @ 16:23:
[...]
Iets met tegelwijsheden die hier af en toe voorbij komen:
[Afbeelding]
En voor @LadyS:
[Afbeelding]
==
hoi
Je ziet toch dat hij een whale is?Eusebius schreef op vrijdag 13 december 2024 @ 16:25:
[...]
Sorry, staat die man nou op een begraafplaats leunend tegen een graftempel?
Waarschijnlijk de man van de 93k short.
A man who fears suffering is already suffering from what he fears.
Daar kijk ik toch helemaal niet naar.Eusebius schreef op vrijdag 13 december 2024 @ 16:25:
[...]
Sorry, staat die man nou op een begraafplaats leunend tegen een graftempel?
Zelfde als de 4-vingerige handen, bijzaak.
E-B schreef op vrijdag 13 december 2024 @ 16:04:
[...]
Ik zit er met smart op te wachten!
Dit is m'n eerste post in 1 van de crypto topics. Zijn introducties nog gewenst of is het gewoon een kwestie van aanhaken en meegaan in de flow?
:gifsicle():strip_exif()/f/image/P7v8DuBflSkLu08kNJT3tvc5.gif?f=user_large)
Eusebius schreef op vrijdag 13 december 2024 @ 16:25:
[...]
Sorry, staat die man nou op een begraafplaats leunend tegen een graftempel?
Dank! Ik hou van flauwe (sarcastische) humor, onzin, memes dus toen ik iets over SOL voorbij zag komen heb ik m'n kans gegrepen om aan te haken.tomtom901 schreef op vrijdag 13 december 2024 @ 16:19:
[...]
In dat geval mag je soms iets een plaatje posten van vrouwelijk schoon. En soms posten we een hunk voor @LadyS. Voor de rest, welkom!
Ik houd dit topic al een tijdje in de gaten en heb mij vanochtend net geabonneerd op het NK topic. Komt goed! Ik gun mijzelf vooralsnog de tijd niet om meer te leren over die grafieken. Op dit moment houd ik m'n huidige tactiek aan; gokken!Koers spul doen we voornamelijk in het NK topic, dus als je wat over grafieken wil leren is dat de plek. Hier is eigenlijk voornamelijk onzin
Misschien zit zijn duim ergens verstopt?LadyS schreef op vrijdag 13 december 2024 @ 16:31:
[...]
Daar kijk ik toch helemaal niet naar.
Zelfde als de 4-vingerige handen, bijzaak.
Tip: roep gewoon iets doms hier en dan gaat iedereen je corrigeren. Leer je het snelst vanE-B schreef op vrijdag 13 december 2024 @ 16:34:
[...]
Dank! Ik hou van flauwe (sarcastische) humor, onzin, memes dus toen ik iets over SOL voorbij zag komen heb ik m'n kans gegrepen om aan te haken.
[...]
Ik houd dit topic al een tijdje in de gaten en heb mij vanochtend net geabonneerd op het NK topic. Komt goed! Ik gun mijzelf vooralsnog de tijd niet om meer te leren over die grafieken. Op dit moment houd ik m'n huidige tactiek aan; gokken!
En we wachten op de terugkeer van @Kol Nedra
==
hoi
Stop dan iig 50% van je pf in Bitcoin en ga met de andere 50% gokken. Kijk over een maandje of 6 welk deel meer waard isE-B schreef op vrijdag 13 december 2024 @ 16:34:
[...]
Op dit moment houd ik m'n huidige tactiek aan; gokken!
[ Voor 37% gewijzigd door Nopheros op 13-12-2024 16:36 ]
Iets doms? Ik heb 2 x 100 HONEY gekocht omdat deze vandaag op Bitvavo verscheen en ik tijd had om er even iets mee te doen.Eusebius schreef op vrijdag 13 december 2024 @ 16:35:
[...]
Tip: roep gewoon iets doms hier en dan gaat iedereen je corrigeren. Leer je het snelst vanZeker door mede-Gotters die elke ochtend azijn drinken.
En we wachten op de terugkeer van @Kol Nedra
Dan eerst m'n SOL maar weer eens in de groene cijfers zien te krijgen...Nopheros schreef op vrijdag 13 december 2024 @ 16:35:
[...]
Stop dan iig 50% van je pf in Bitcoin en ga met de andere 50% gokken. Kijk over een maandje of 6 welk deel meer waard is
Zeker. En de man is een legende. Ik hoorde ooit een verhaal dat hij een hele bitcoin heeft.
laatste koopkans onder de 100k bedoel je?juiced01 schreef op vrijdag 13 december 2024 @ 16:53:
Ennnn rekt again
Oja dat bedoel ik!Firestorm schreef op vrijdag 13 december 2024 @ 16:54:
[...]
laatste koopkans onder de 100k bedoel je?
Wat bullet points:
- check mempool.space voor een goed moment/ periode
- gebruik coin control van je wallet
- je kan gewoon naar hetzelfde wallet adres of een nieuw adres van je wallet sturen
- als je met privacy rekening houdt, check ook welke utxos je wel en niet naar één nieuw adres wil sturen, want dan wordt ook je historie gekoppeld
A polar bear is a rectangular bear after a coordinate transform - Never attribute to malice that which is adequately explained by stupidity
Oh we bouncen alweer.
[ Voor 11% gewijzigd door knakworst op 13-12-2024 17:01 ]
Waar denk je dat ze die ETF''s mee betalen ?knakworst schreef op vrijdag 13 december 2024 @ 17:00:
Waarom dalen we toch altijd zo smerig terwijl die etf's honderden miljoenen aan sats uit de markt halen.
When supply shock?knakworst schreef op vrijdag 13 december 2024 @ 17:00:
Waarom dalen we toch altijd zo smerig terwijl die etf's honderden miljoenen aan sats uit de markt halen.
Oh we bouncen alweer.
#unpopular_opinion omdat die ETFs en Mèkel Nicht Saylor het enige zijn dat de prijs nog zo hoog houdtknakworst schreef op vrijdag 13 december 2024 @ 17:00:
Waarom dalen we toch altijd zo smerig terwijl die etf's honderden miljoenen aan sats uit de markt halen.
Oh we bouncen alweer.
A polar bear is a rectangular bear after a coordinate transform - Never attribute to malice that which is adequately explained by stupidity
Tsja, we wachten allemaal op die shock. Zal vast wel weer komen met een volgende leg up. We hebben weer even het @anti elppa bullish-infuus nodig. Over dat we nog zoveel hoger gaan, dit is ruis, en dat we niet bullish enough zijn.knakworst schreef op vrijdag 13 december 2024 @ 17:00:
Waarom dalen we toch altijd zo smerig terwijl die etf's honderden miljoenen aan sats uit de markt halen.
Oh we bouncen alweer.
Verder is het jammer dat die OTC desk balance nergens publiek staat. Is wel beschikbaar via sommige dashboards (b.v. via glassnode), maar allemaal betaald. Laatste publieke artikel daarover is alweer anderhalve maand geleden.
[ Voor 5% gewijzigd door Guere op 13-12-2024 17:05 ]
knakworst schreef op vrijdag 13 december 2024 @ 17:00:
Waarom dalen we toch altijd zo smerig terwijl die etf's honderden miljoenen aan sats uit de markt halen.
Oh we bouncen alweer.
Ik denk dat die boomers dat bij Larry Fink afrekenen met smerige dollars. Niet met btc.Peterre schreef op vrijdag 13 december 2024 @ 17:02:
[...]
Waar denk je dat ze die ETF''s mee betalen ?
Wiley99 schreef op vrijdag 13 december 2024 @ 17:03:
[...]
#unpopular_opinion omdat die ETFs en Mèkel Nicht Saylor het enige zijn dat de prijs nog zo hoog houdt
:no_upscale():strip_exif()/f/image/AgHceOxNYabckuF7M5TfPBVl.webp?f=user_large)
Gaat ook echt wel soon gruwelijk hard up. Als we 2 weken terug in 1 rechte lijn naar de 150k geknald waren was het of einde bull geweest of een dip van 3 tot 4 maanden. Nu hebben we een prima consolidatie om straks mooi naar de 130k te knallen. We hebben nog zeker 6, tot misschien wel 11 maanden bull voor de boeg. Dan kan je niet elke maand +30% doen.Guere schreef op vrijdag 13 december 2024 @ 17:05:
[...]
Tsja, we wachten allemaal op die shock. Zal vast wel weer komen met een volgende leg up. We hebben weer even het @anti elppa bullish-infuus nodig. Over dat we nog zoveel hoger gaan, dit is ruis, en dat we niet bullish enough zijn.
Verder is het jammer dat die OTC desk balance nergens publiek staat. Is wel beschikbaar via sommige dashboards (b.v. via glassnode), maar allemaal betaald. Laatste publieke artikel daarover is alweer anderhalve maand geleden.
Tesla M3LR acc boost 2019 & Tesla model 3 performance 2024
Ik hoop het nietanti elppa schreef op vrijdag 13 december 2024 @ 17:13:
Vannacht 2h horen we ook of microstategy toegevoegd word aan de nasdaq
Als die nou eens zorgt hier terug te zijn dan kan BTC tenminste weer gewoon door. Dit schiet niet op zo.
How does it feel to be the greatest guitarist in the world? I don't know, go ask Rory Gallagher. —Jimi Hendrix quote from Rolling Stone magazine interview.
Beetje dubbel gevoel. Mocht ms niet toegevoegd worden gaat er absoluut een dump komen. Omgekeerde bij wel toegevoegd worden. Doe mij laatste dus maar. Maar ik snap wel waarom je post wat je post
Tesla M3LR acc boost 2019 & Tesla model 3 performance 2024
Zie je op 0.2 mil dan wel weer
This signature has been taken down by the Dutch police in the course of an international lawenforcement operation.
Die dump is dan volgens mij max 10% en wordt gewoon opgekocht waarna t langzaam weer omhoog gaat. Helemaal niet zo verkeerd.anti elppa schreef op vrijdag 13 december 2024 @ 17:19:
[...]
Beetje dubbel gevoel. Mocht ms niet toegevoegd worden gaat er absoluut een dump komen. Omgekeerde bij wel toegevoegd worden. Doe mij laatste dus maar. Maar ik snap wel waarom je post wat je post
Ik lul ook zomaar wat
Oh nee, is zrker ook geen horror ramp. Maar van mij mogen we wel upshovelhead1340 schreef op vrijdag 13 december 2024 @ 17:26:
[...]
Die dump is dan volgens mij max 10% en wordt gewoon opgekocht waarna t langzaam weer omhoog gaat. Helemaal niet zo verkeerd.
Tesla M3LR acc boost 2019 & Tesla model 3 performance 2024
Tot 1 januari rangen rond 100k voor de belastingdienst en dan snoeihard naar 150k heb ik lieveranti elppa schreef op vrijdag 13 december 2024 @ 17:29:
[...]
Oh nee, is zrker ook geen horror ramp. Maar van mij mogen we wel up
Ik lul ook zomaar wat
De Bitcoin?
Het Bitcoin?
Nee!
Bitcoin zal enkel stijgen...
En dan op 1 januari het moment weer goed timen waarop je een screenshot maakt.shovelhead1340 schreef op vrijdag 13 december 2024 @ 17:37:
[...]
Tot 1 januari rangen rond 100k voor de belastingdienst en dan snoeihard naar 150k heb ik liever
De BD kan zelf ook wel de koers achterhalen.Moiety schreef op vrijdag 13 december 2024 @ 17:40:
[...]
En dan op 1 januari het moment weer goed timen waarop je een screenshot maakt.
Succes met al mijn shitcoins BDWispe schreef op vrijdag 13 december 2024 @ 17:44:
[...]
De BD kan zelf ook wel de koers achterhalen.
Lekker gas aan banden leggen, iedereen aan de houtkachel en terug naar het jaar 1825.. iedereen aan de fijnstof.
Wen 420k, dan verhuis ik naar een land zonder kachels.
[ Voor 32% gewijzigd door Pelox op 13-12-2024 17:51 ]
Zero.
Goed dat je aan het hardlopen bent, echter ga ik liever gezond dood door een aandoening van de geur van een brandkachel tijdens hardlopen dan sigarettenrook. Daarnaast je bent aan het hardlopen.. je loopt er “hard” langs. De geur is heerlijk. 🤶😋Pelox schreef op vrijdag 13 december 2024 @ 17:50:
Lees van alles over roken.. nou ik was net een rondje gaan hardlopen, maar ik had beter een pakje sigaretten kunnen roken, dat was gezonder geweest met al die houtkachels tegenwoordig.
Het is kneiter ongezond en je krijgt er onder meer kanker van. Nee bedankt, daar heb ik al genoeg van meegemaakt in mijn directe omgeving.Cougar schreef op vrijdag 13 december 2024 @ 17:53:
[...]
Goed dat je aan het hardlopen bent, echter ga ik liever gezond dood door een aandoening van de geur van een brandkachel tijdens hardlopen. Daarnaast je bent aan het hardlopen.. je loopt er “hard” langs. De geur is heerlijk. 🤶😋
Maar goed.. on topic. Wen eth 10k?
[ Voor 3% gewijzigd door Pelox op 13-12-2024 17:58 ]
Zero.
-10%
Zet de moeilijke stap, Praat over je gevoelens, Verstop ze niet, Deel ze met de juiste personen
Toen ik werd geboren hadden we alleen maar een houtkachel, en meerderen met mij. Kanker leeft in iedereen, je moet alleen geluk hebben en een sterk lichaam hebben wanneer het jou treft. Kijk iedereen wordt geboren en gaat dood, dat is een gegeven. Alles daartussen moet je zelf leuk maken. 👍Pelox schreef op vrijdag 13 december 2024 @ 17:56:
[...]
Het is kneiter ongezond en je krijgt er onder meer kanker van. Nee bedankt, daar heb ik al genoeg van meegemaakt in mijn directe omgeving.
Een betere wereld begint bij jezelf. 🌎MrMrq schreef op vrijdag 13 december 2024 @ 18:02:
Al dat gezeik over kachels en Kol Nedra. Kan er niet iemand een grafiek ofzo delen.
Onze primaire verwarming is enkel een houtkachel (we wonen vrijstaand).Cougar schreef op vrijdag 13 december 2024 @ 17:59:
[...]
Toen ik werd geboren hadden we alleen maar een houtkachel, en meerderen met mij. Kanker leeft in iedereen, je moet alleen geluk hebben en een sterk lichaam hebben wanneer het jou treft. Kijk iedereen wordt geboren en gaat dood, dat is een gegeven. Alles daartussen moet je zelf leuk maken. 👍
En eerlijk, ik zou niets anders willen.
Hout stoken om warm te blijven zou een basisrecht (grondwet) moeten zijn.
Een ander hinderen is niet de bedoeling, daar kan je goed rekening mee houden.
Idd, anders moet ik wéér naar Duitsland voor mijn ShagWoohooo schreef op vrijdag 13 december 2024 @ 18:06:
Ja, wen moon? Volgende maand weer een hoop grote uitgaves. Heb zeker +30% btc wel nodig om januari door te komen...
Klopt deels, morgen is de verjaardag van mijn broer.. o nee zijn geboortedag.Cougar schreef op vrijdag 13 december 2024 @ 17:59:
[...]
Toen ik werd geboren hadden we alleen maar een houtkachel, en meerderen met mij. Kanker leeft in iedereen, je moet alleen geluk hebben en een sterk lichaam hebben wanneer het jou treft. Kijk iedereen wordt geboren en gaat dood, dat is een gegeven. Alles daartussen moet je zelf leuk maken. 👍
Ik zal een taartje voor hem halen maar wel zonder kaarsjes ivm de brandlucht
En je hebt gelijk dat je het zelf leuk moet maken, indien mogelijk. Gelukkig heb ik die les al heel vroeg geleerd en niet pas op latere leeftijd.
Moet maar weer eens een snoepreisje boeken van de winsten, hup moon met die handel!
Zero.
MrMrq schreef op vrijdag 13 december 2024 @ 18:02:
Al dat gezeik over kachels en Kol Nedra. Kan er niet iemand een grafiek ofzo delen.
Leven van een roker gaat niet over rozen.Moiety schreef op vrijdag 13 december 2024 @ 18:09:
[...]
Idd, anders moet ik wéér naar Duitsland voor mijn Shag
Sta het nu ook aardig af te niften buiten met mn shaggie uit de heimat.
MacBook Air M2 2022 / MacBook Pro Retina 13" 2015 / iPhone 16 Pro Natural Titanium
De spanning of @Kol Nedra terugkomt, "BTC do something", bullish, rekt.
Anyway: weekend
MacBook Air M2 2022 / MacBook Pro Retina 13" 2015 / iPhone 16 Pro Natural Titanium
Wie is @Kol Nedra ?Bushalte schreef op vrijdag 13 december 2024 @ 18:42:
Leuk om zo'n dag terug te lezen.![]()
De spanning of @Kol Nedra terugkomt, "BTC do something", bullish, rekt.
Anyway: weekend![]()
Goeie voorgevel hoor.
1 van de mooiste dingen in het leven is zolang schijten in de baas zijn tijd totdat je benen slapen.
Of bedoelde je dat niet?
A man who fears suffering is already suffering from what he fears.
knakworst schreef op vrijdag 13 december 2024 @ 18:53:
Let the ath be with us tonight.
Maktub
Ja beter dan dat gel*l over die Kol steeds. Doe maar weer een nieuwe ATH.knakworst schreef op vrijdag 13 december 2024 @ 18:53:
Let the ath be with us tonight.
Bron?Mr Ronman schreef op vrijdag 13 december 2024 @ 18:57:
Bitcoin heeft er zin in, de supply shock is coming.
Mijn laatste reviews: Xiaomi Mi 9T | Mpow H12
Vroegah, jij op de Zondagmorgen:FrambozenTaart schreef op vrijdag 13 december 2024 @ 15:24:
[...]
Vape heb ik hier ook altijd nog liggen. Meng die vloeistof ook gewoon zelf dus kan zelf mijn smaakjes en nicotine hoeveelheid bepalen. Ook een mooi tankje erbij waarvoor ik zelf de coils kan draaien. Jaren gedaan zonder peuk erbij.
Tegenwoordig heb je die chinese wegwerp meuk en dan is het maar de vraag wat erin zit.
Pak mijn vape meestal nog doordeweeks maar kom vroeg of laat toch altijd weer bij een pak sigaretten uit voor het weekend of gelegenheden.
Maargoed. Heb ook 10 jaar lang dagelijks wiet gerookt tot full blown depressie aan toe, cocaïne en amfetamine gesnoven tot ik met bloedneus en hartkloppingen wakker werd en als een lijk voor de spiegel mezelf stond af te vragen waar ik in godsnaam mee bezig was. Wodka en whisky erbij tot een tolerantie dat je een fjesje weg kunt tikken zonder al teveel moeite. Die tijd heb ik uiteindelijk ook achter weten te laten. Roken is serieus mijn laatste duiveltje, dus dat moet ook gewoon lukken
Het fijnste is als je kunt leren genieten van het leven zonder de extreme en zelfdestructieve dingen.
Nog ff uitvogelen waar crypto past in dat rijtje
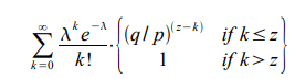
Waarom het poison model?
Een echte golver is nooit uitgeput
Geen idee, zocht een formule uit de originele bitcoin publicatie. Als dit inderdaad het poison model is dan vind ik het heel knap dat je dit herkend.
Haha, memecoins.E-B schreef op vrijdag 13 december 2024 @ 16:37:
[...]
Iets doms? Ik heb 2 x 100 HONEY gekocht omdat deze vandaag op Bitvavo verscheen en ik tijd had om er even iets mee te doen.
Dat is best dom
Ik heb er iig meer mee verloren dan gewonnen (superdom)
Ben je nou nog steeds niet bij? Schiet eens op!elektriekert schreef op vrijdag 13 december 2024 @ 19:43:
[...]
Haha, memecoins.
Dat is best dom![]()
Ik heb er iig meer mee verloren dan gewonnen (superdom)
Met lezen bedoel je?Wispe schreef op vrijdag 13 december 2024 @ 19:46:
[...]
Ben je nou nog steeds niet bij? Schiet eens op!
Heb niet altijd de tijd hè!
En volgens mij hoogste daily close ooit als we hier sluiten..tomtom901 schreef op vrijdag 13 december 2024 @ 19:41:
Nou, we zijn weer bovenaan de range, er boven breken is een gooi naar de ATH.
[Afbeelding]
https://www.youtube.com/watch?v=HagLHuLUNLw
elektriekert schreef op vrijdag 13 december 2024 @ 19:54:
[...]
Met lezen bedoel je?
Heb niet altijd de tijd hè!
Op candle body inderdaad ja.Stokstaart schreef op vrijdag 13 december 2024 @ 20:05:
[...]
En volgens mij hoogste daily close ooit als we hier sluiten..
Dit topic is gesloten.
![]()
- "Wat vinden jullie van coin X?" of "Wat is jullie mening over cryptocurrency Y?" vragen horen niet in dit topic thuis. Onderbouw je vraag, licht de techniek en voor- & nadelen grondig toe, etc. of stel je vraag niet.
- Technische analyses, onderbouwde koersvoorspellingen & crypto gerelateerd nieuws kan je ook in het Nieuws, koers en handel topic: ~[NK] Cryptocurrency nieuws, koers & handel topic #3 posten.
- Blijf on-topic, hypotheken, Corona/COVID19 en zonnepanelen zijn bijv. offtopic. Politiek, Trump en Elon Musk zijn alleen on-topic als dit relevant is mbt crypto.
- Het aankondigen of initiëren van pumps en dumps is verboden. Net als het zonder nuttige toelichting linken en shillen van coins met als enige doel anderen aan te zetten tot het kopen ervan.
- Post geen Telegram groups, Discord servers of andere "signal" chat kanalen
- Invites en referrals zijn verboden. Dit betreft zowel het linken, aanbieden als vragen. Referrallinks zijn ook niet toegestaan in je signature/handtekening.
- Wees vriendelijk en reageer inhoudelijk, speel het niet op de persoon.
- Commentaar op de moderatie per DM of in het feedbacktopic, niet hier.
- Dit is geen NSFW-topic. Babes posten is prima, maar hou het een beetje fatsoenlijk en crypto gerelateerd. Geldt natuurlijk ook voor "groene dildo's" en dat soort plaatjes.
- Geen crossposts! Post je vraag of opmerking in 1 topic, niet meerdere. Kies daarvoor het topic dat het best bij je vraag/opmerking past. Voor meer info: Welkom in het cryptocurrency forum. LEES DIT EERST!.
- Dit topic is niet bedoeld voor simpele vragen. Eigen inzet blijft gewenst en lees vooral eerst de topicstart.
En zoals altijd: investeer nooit meer geld dan je bereid bent te verliezen!
:gifsicle():strip_exif()/f/image/Ztq0DfyrXYJJUpWeafgkxMlG.gif?f=user_large)
:strip_exif()/f/image/nDMyWCSwKUZi9ufu13nXjYuM.jpg?f=fotoalbum_large)
:no_upscale():strip_icc():strip_exif()/f/image/r7CteGbQj1JBADOmJdYs2u5Y.jpg?f=user_large)
/f/image/wbbL2Qyd0ZWNEgyeHHkrpGMO.png?f=fotoalbum_large)
/f/image/bnW5zKpRnpHtiXKGTopXtUOU.png?f=fotoalbum_large)
:strip_exif()/f/image/r4tbrFKnDkCN03mCwSsYhdy1.jpg?f=fotoalbum_large)